iman ghazi 0
بعدشم خیالت راحت که نمیاد تو کنکور یا اگه بیاد اصلا باید از این تست ها دوری کنیم چون همین که میبینی طولانی هستش یعنی امکان خطا خیلی زیاده
iman ghazi 0
دیدگاهها
-
تقسیم چند جمله ای (دوازدهم) -
تقسیم چند جمله ای (دوازدهم)Parimah Aghajani
منم تو کنکور همچین سوالی رو حل نمیکنم چون از روی ظاهرش معلومه سخته و طولانی -
تنفس سلولیChekav Chekav در تنفس سلولی گفته است:
iman ghazi 0 در تنفس سلولی گفته است:
Chekav Chekav
تو دواازدهم راه های تنفس سلولی رو میگه و میگه که اگر اکسیژن کم بشه سلول میره به سمت تخمیر و کربن دی اکسید از تخمیر به وجود میاد و همراه خودش اسید لاکتیک ایجاد میکنه که تجمع اونها سبب ایجاد درد ماهیچه ها پس از فعالیت شدید میشهپس یعنی صورت سوال مشکلی نداره؟ ما سوادمون قد نمیده هنوز؟ 😬
درسته هنوز سوادتون قد نمیده
-
تقسیم چند جمله ای (دوازدهم)جواب گذینه 2 هستش

-
تقسیم چند جمله ای (دوازدهم)iman ghazi 0
اگه اره جوابمو بفرستم -
تقسیم چند جمله ای (دوازدهم)پاسخش گذینه 2 هستش
-
تقسیم چند جمله ای (دوازدهم)iman ghazi 0
حرفمو پس میگیرم خیلی مسئله رو مخیه -
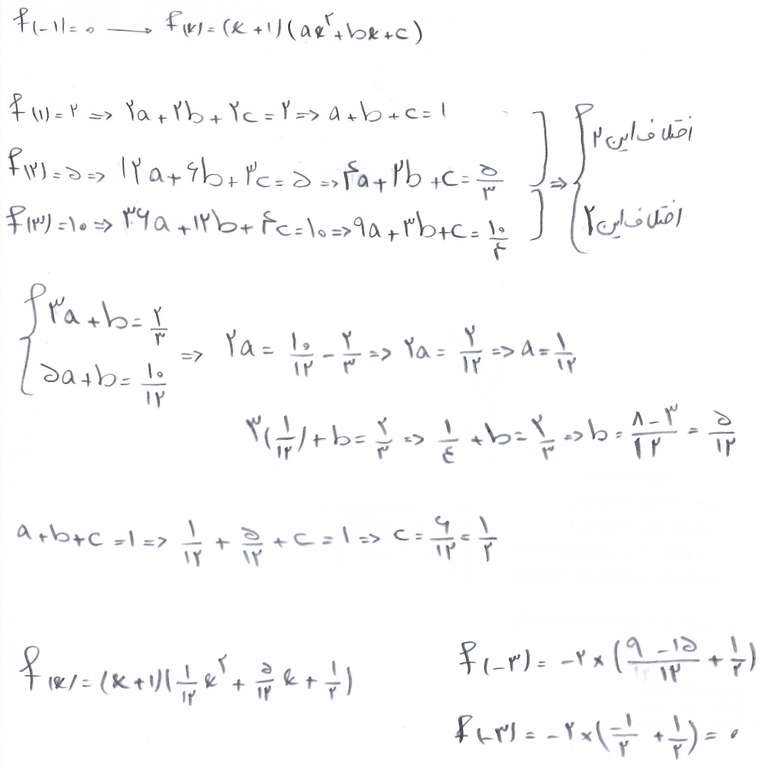
تقسیم چند جمله ای (دوازدهم)اسون هستش که باید یه چند جمله ای درجه سه رو با عدد گذاری بدست بیارید
الان حل مبکنم براتون -
زنجیره انتقال الکترونخود سوال گفته ژن های مربوطه پس یعنی جهش روی دنا هستش و تمام پروتئین های غشای داخلی درگیر این بیماری هستند .
-
میشه کمک کنید؟؟؟؟هر سال ادم تست بزنه خیلی بهتره چون مطالب ننیمه و ناقص هم که شده تو ذهنش میمونه دوازدهم از صفر نیاز نیست بخونه
من منظورم از صفر اینه چون از رو کتاب خوندن با تست زدن فرق داره -
تنفس سلولیChekav Chekav
تو دواازدهم راه های تنفس سلولی رو میگه و میگه که اگر اکسیژن کم بشه سلول میره به سمت تخمیر و کربن دی اکسید از تخمیر به وجود میاد و همراه خودش اسید لاکتیک ایجاد میکنه که تجمع اونها سبب ایجاد درد ماهیچه ها پس از فعالیت شدید میشه -
تنفس سلولیChekav Chekav
شما دوازدهمی هستی -
حد تابع چند ضابطه ایParimah Aghajani فقط کلید داره یا تشریحی هم هستش
-
سوال زیست(گوارش)zahra alaei
بله یشتر هست چون اونجا فعالیت بیشتر هستش و باید قند برای سوختن بیشتر باشه -
شیمی مسائل تجزیهدریا دریایی
من از تو فیلم همایش طلایی ایشون دیدم و اونجا گفتن کلا اون ضریب یک هستش . ضریب 2 یا بیشتر مال موقعی هستش که مثلا ضریب کربن دی اکسید یا اب که گاز های ما به حساب میان غیر از یک باشه که اون موقع باید به جای این که یه جرم مولی جمع کنیم چندتا جرم مولی جمع میکنیم
مثلا اگه دو ضریب کربن دی اکسید بود میگفتیم 44+44+18 و در کل ضریب رو در جای اطلاعات واکنش یک در نظر میگیریم -
حد تابع چند ضابطه ای@miss-besharati
ببخشید منظورتون از سینوس با توان منفی یک همون یک تقسیم بر سینوس هستش -
سوال زیست(گوارش)zahra alaei
بعدشم ادم نباید دنبال زیر بغل مار بگرده که فقط بدون چی تخریب میشه همین -
سوال زیست(گوارش)خون فقط تو رگ جاری هستش
-
سوال زیست(گوارش)یاخته خون نداره که
-
سوال زیست(گوارش)چه ربطی به خون داره ؟