محمدحسین پاس بین خب در اخر هم اونها ریشه نبودن که
iman ghazi 0
دیدگاهها
-
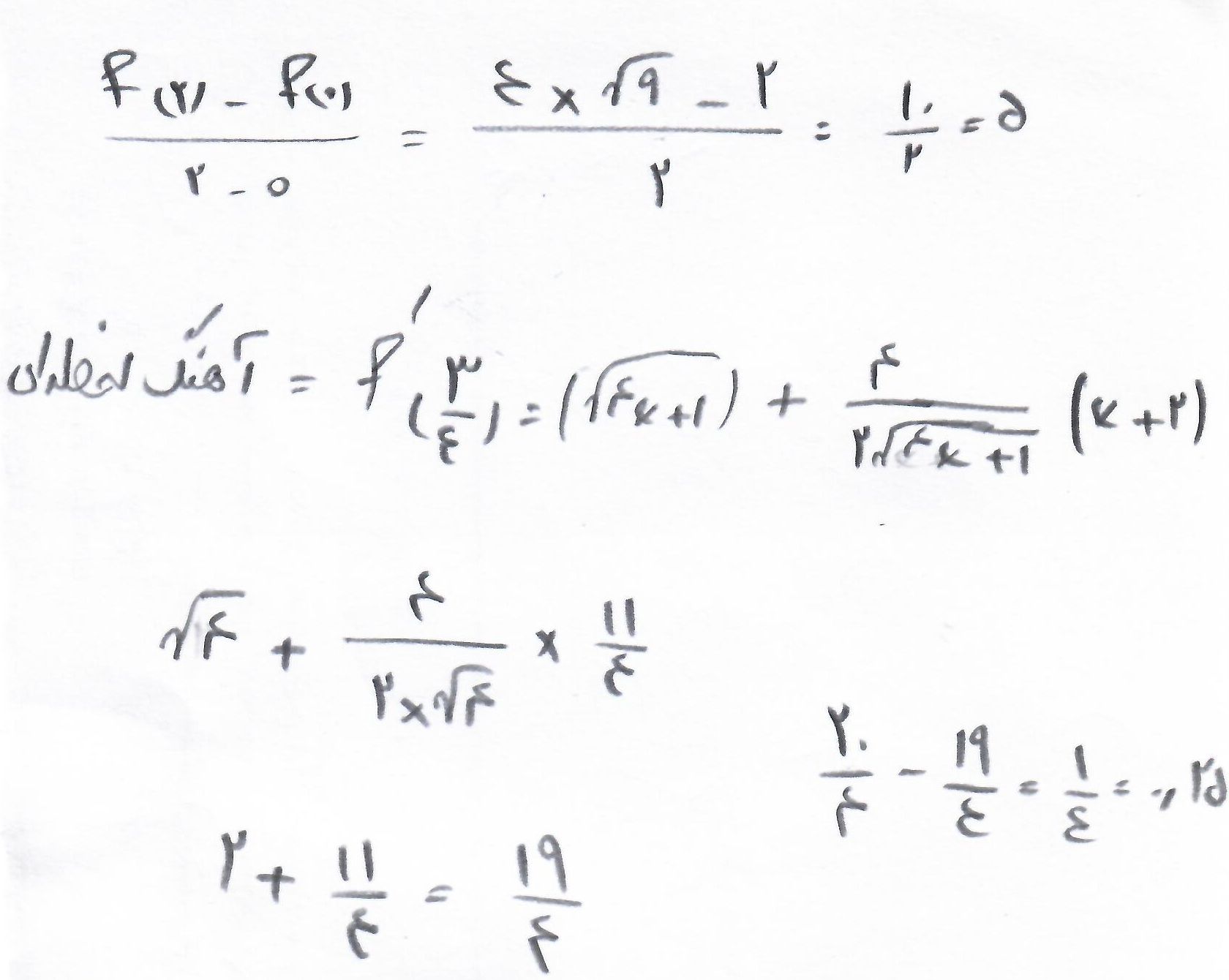
سوال 13 کنکور راضی 98 درس ریاضی -
سوال 13 کنکور راضی 98 درس ریاضیچرا نمیشد اون عامل مشترک رو از دوطرف ساده کنیم و دیگه فاکتور گیری نکنیم
-
سوال 13 کنکور راضی 98 درس ریاضییه سوال دیگه
-
سوال 13 کنکور راضی 98 درس ریاضیمحمدحسین پاس بین
ممنون -
سوال 13 کنکور راضی 98 درس ریاضیمحمدحسین پاس بین میشه این حرکتو تشریحی برام بنویسید دقیقا مشکلم چگونگی فاکتور گیریش هست
-
مجهولات تابع کسینوساوکی شد ؟
-
سوال 13 کنکور راضی 98 درس ریاضی
-
سوال 13 کنکور راضی 98 درس ریاضیببخشید یه سوال دارم
-
مجهولات تابع کسینوسپری ناز

امیدوارم کامل گفته باشم -
محاسبات مثلثاتی
کاملا تشریحی نوشتم -
مجهولات تابع کسینوستشخیصش از رو نمودار رو میگید یا خودشو
-
سوال 18 کنکور راضی 98 درس ریاضیFragile
میدونم ولی تشخیصش از رو نمودار و مفهوم سوی تقعر و این هارو ما نداریم
وگرنه دوبار مشتق گرفتن از تابع که کاری نداره -
سوال 18 کنکور راضی 98 درس ریاضیFragile خب ما تجربی ها مشتق دوم نداریم و گرنه باید بدونی که مشتق دوم این تابع هم صفر هستش و اون موقع جواب بدی این رو
-
سوال 17 کنکور راضی 98 درس ریاضی
گذینه 4 -
سوال 18 کنکور راضی 98 درس ریاضیای کاش میدین برا تجربیا ها هم هست یا نه بعد ما تجربی ها رو تگ میکردین
اخه ما مشتق دوم رو ازکجا باید بلد باشیم -
واکنش های فیلم تدریس استاد پویان نظریعنی چی درست هستن یا نه
-
مجهولات تابع کسینوسiman ghazi 0
البته چون کارنامه ازمون اول رو نداشتم اینو فرستادم وگرنه اولین ازمون منفی بودم -
مجهولات تابع کسینوسپری ناز

این کارنامه من قبل از اشناییم با الا بود -
مجهولات تابع کسینوسالان هم فقط تو ریاضی چون یه سری قسمت هارو نمیخونم درصدم کمه
-
مجهولات تابع کسینوسپری ناز
واقعا من درصد های ریاضی گذینه دو خودم منفی بوده