@MV-ettta یه جا نوشته برا تبدیلش به سیر شده 2 مول هیدروژن لازمه :-\
SiliS
دیدگاهها
-
تست -
تست@MV-ettta گزینه 2نکته داره :-)
-
جاریمتن تایپی که اول نوشته بودم تمیز نشد ،
نوشتهساده ترین راه

-
جاریmlika hoveida

چنتا روش حل داره که یکیش اینطوریه -
چه نیازی بود مشتق گرفتن؟Wujian سلام گزینه ها رو اگه نگاه کنید هم منفی مثبتش هست و هم نزولی و صعودی
برا رد صعودی و نزولی بودن در ابتدا مشتق گرفته
ولی چندان هم فرقی نمیکند که منفی و مثبت رو اول بزنیم و مستقیم به جواب برسیم،
سوال با دقت هم حل میشد راحت تر
هر تابعی در هر شرایطی مثبت و یا منفی هستش
( به غیر از تابع ثابت برابر صفر ==> از ضابطه معلومه تابع ثابت نیست ) پس مقدم رو بر این میزاشتیم کهکه مثبت و منفی رو حساب کنیم و سریع به جواب برسیم
(البته تعریف نشده و یا تعریف شده رو هم باید در اولویت نخست تر قرار میدادیم ) -
گزارش ساعت مطالعه برای کنکوری ها (تمامی رشته ها)2/12
14:48زیست 7ساعت
عمومی 6ساعت
مرور حفظیات کنکور 2ساعتتست 214
-
چالش ساعت مطالعه کنکوری ها (70 روز پایانی)سلام
1402/02/12ساعت مطالعه 14:48
افزایش 38 دقیقهروز سوم
-
نکات شکل دستگاه گوارش (گروه نویسندگان...) 📚نکات نشان شده
-
کبد می تواند گوارش داشته باشد چون در هر جا خون دیده میشود در نتیجه گلبول سفید و بیگانه خوار گوارش هست است
-
دقت کنید همه بافت های دستگاه گوارش ترشح دارند ، ولی برخی از آنها در گوارش موثر هستند
-
حلق در تست هایی 4راه و در مواردی 6 راه نظر می گیرند
-
حلق نیز مثل زبان دارای ماهیچه مخطط است.اما انقباض ماهیچه حلق , به صورت غیر ارادی انجام می شود.مرکز عصبی کنترل این انقباض , در بصل النخاع قرار دارد.
-
بلع زمانی تمام می شود که غذا وارد معده شده باشد.
-
حتی در نبود فاکتور داخلی معده نیز مقدار کمی ویتامین B12 در روده بزرگ جذب می شود
-
-
نکات شکل دستگاه گوارش (گروه نویسندگان...) 📚نکات نشان شده
-
اندام دریافت کننده صفرا ، می تواند خود کیسه صفرا هم باشد
-
آب یکی از ماده هایی است هم جذب مویرگ لنفی و هم جذب مویرگ خونی می شود (الکل هم )
-
اندام های لوله گوارش که در مجاورت پیلور هورمون ترشح میکنند شامل معده و دوازدهه می باشد اما کبد و پانکراس نیز اندام هایی از دستگاه گوارش هستند که در مجاورت پیلور توانایی تولید هورمون دارند
-
هر پروتئین ترشح شده توسط سلول های پوششی مخاط لوله گوارش در گوارش نقش ندارد مثل پروتئین های غشای پایه
-
-
نکات شکل دستگاه گوارش (گروه نویسندگان...) 📚نکات نشان شده
-
ترشح بزاق می تواند در اثر تحریک گیرنده های نوری (دیدن غذا ) یا شیمیایی (بوییدن غذا ) و یا فکر کردن به غذا باشد
-
راست روده قطور تر از روده بزرگ است و برخلاف روده بزرگ ساختار کیسه کیسه ندارد
-
سنگ کیسه صفرا میتواند در نهایت باعث
1)ایجاد درد
2)چرب شدن مدفوع (به علت عدم جذب مناسب چربی ها )
3)کاهش قدرت گیرنده های بینایی ( به علت اختلال در جذب ویتامین آ )
4)پوکی استخوان (به علت اختلال در جذب ویتامین دی و یون کلسیم)
5)خونریزی شدید بافت ها (به علت اختلال در جذب ویتامین کا و یون کلسیم فرایند انعقاد خون مختل میشود)- غدد روده باریک علاوه بر لایه مخاط میتوانند تا لایه زیر مخاط نیز ادامه داشته باشند
-
-
گزارش ساعت مطالعه برای کنکوری ها (تمامی رشته ها)10 اردییبهشت
13:57
5زیست
2ریاضی
7عمومیدتست 139
موفق باشید
-
گزارش ساعت مطالعه برای کنکوری ها (تمامی رشته ها)Fadaei_Hossein128 در گزارش ساعت مطالعه برای کنکوری ها (تمامی رشته ها) گفته است:
@PYA ممنونم از تنبیه
قول میدم از فردا گزارشم بدم😊13 روز گذشت و فقط 2 روز گزارش دادید :-)🔪
تنبیه در چه حاله؟ -
این همه توضیح برای 1 نمره!!!!Amir ali Nikfard یکی از سال ها دیدم بقیه متن هم جز سوال بود و باید جواب داده میشد
( طبق بارم پاسخنامش ) -
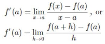
ی سوال ساده از مشتق مرتبه دومWujian موفق باشی اوجیان
-
ی سوال ساده از مشتق مرتبه دومWujian
شکل ساده شده رو نوشته

تعریف اول رو در نظر بگیر ، حالا به جا آ صفر بزار
C=0
خب همین شد ، مشتق تابع در صفر -
تابع@Danial-al آره این اشتباه طراح بود
با هیچ کدومش جواب نمیاد
یعنی جوابش توی گزینه ها نیست -
تابعمیتونستیم با رسم تابع g و نقاط شکستش رو تابع f بندازیم جواب بیاد ( البته چون درجه اوله جواب راحت میومد )
-
تابع@Danial-al من عدد حدس نزدم
ببین روش انتخابش رو بهت بگم ( لاقل سرعت حل خودم رفته بالا )
وحه تمایز گزینه 1 و 2 توی عدد هستش (3و 10 )
برای پیدا کردن راحت جواب اینا فقط لازم میشن
3 رو انتخاب میکنیم چون در هر گزینه در دامنه خودشون توب فرمول های متفاوتی قرار میگیرن
مثلا گزینه یک ، 3 رو تو کدوم ضابطه میگذاریم؟ تو گزینه دوم کدوم ضابطه؟
میبینی که دو ضابطه غیر یکسان میشه یعنی 2 جواب غیر یکسان هم خواهیم داشت
خب الان باید با گذاشتن توی ضابطه روی سوال وضابطه گزینه 1 و 2
بررسی کنیم کدومش با روی سوال بکی بود اونو بزنیم -
ی سوال ساده از مشتق مرتبه دومWujian سمت چپ اولی که دورش خط کشیده
اون مشتق اول میشه
مشتق اولش صفر اومده پس صورت هم صفره صورت هم ((f(x هثتش
پس ضابطه هم برابر صفر بوده