تابع مثلثاتی
-
-
درود بر همگی
دوستان در این سوال من مقدار ماکسیمم رو صفر و مینیمم رو منفی چهار در میارم طبق شکل!
اما جواب در نمیاد اینطوری.
لطفا بگید اشکال من کجاست و راه حل خودتون رو بفرستید🙏

جواب گزینه 3 هست
تست 14FaMi من الان حساب کردم بیشترینش میشه ۵ پی چهارم کمترینش ۷ پی چهارم جمعشون ۱۲ پی چهارم . میشه ۳ پی
-
درود بر همگی
دوستان در این سوال من مقدار ماکسیمم رو صفر و مینیمم رو منفی چهار در میارم طبق شکل!
اما جواب در نمیاد اینطوری.
لطفا بگید اشکال من کجاست و راه حل خودتون رو بفرستید🙏

جواب گزینه 3 هست
تست 14FaMi پاسخنامه نداره؟
-
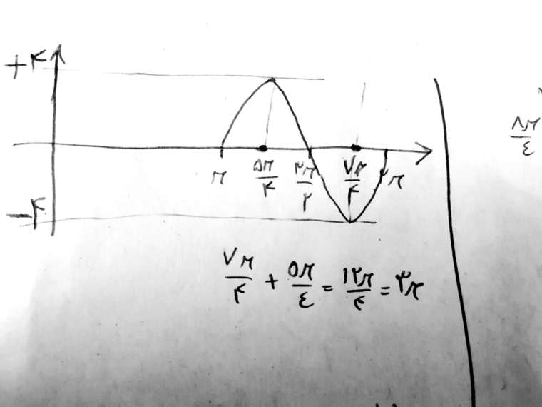
درود بر همگی
دوستان در این سوال من مقدار ماکسیمم رو صفر و مینیمم رو منفی چهار در میارم طبق شکل!
اما جواب در نمیاد اینطوری.
لطفا بگید اشکال من کجاست و راه حل خودتون رو بفرستید🙏

جواب گزینه 3 هست
تست 14FaMi
سلام همونطور که Haneie Sedighi گفتند من هم حل کردم شد 3 پی.
-
درود بر همگی
دوستان در این سوال من مقدار ماکسیمم رو صفر و مینیمم رو منفی چهار در میارم طبق شکل!
اما جواب در نمیاد اینطوری.
لطفا بگید اشکال من کجاست و راه حل خودتون رو بفرستید🙏

جواب گزینه 3 هست
تست 14FaMi شما اومدین y در نظر گرفتی این منظورش x هایی که بیشترین و کمترین y رو تشکیل میدن اینارو باید جمع کنید .




