سلام سلاااام🤩
بچه ها تو این تاپیک میخوایم دانشجوها هم مثل کنکوریا ساعت مطالعه شون رو اعلام کنن ✌
هم انگیزه بشه برای فارغ التحصیلای آلاء تا تو محیط دانشگاه هم دست از تلاشِ آلائی برندارن 💪و هم اینکه کنکوریای با درسایی که دانشجوها میخونن یکم آشنا میشن🤗
پس از امشب استارت این تاپیک رو میزنیم و هرشب میایم و میگیم در طول روز چ درسایی رو خوندیم ،چند ساعت و چیکارا کردیم😁
دعوت میکنم از @فارغ-التحصیلان-آلاء که باهامون همراه بشن🤝
خیلی ممنون از @z-gheibi و @M-ba78 بابت پیشنهاد و همراهیشون❤
راستی از @romisa جانم هم دعوت میکنم بهمون سر بزنه و همراهیمون کنه😍
:handshake: سلام خدمت دوستان %(#ff0000)[دوازدهمی]، داخل این تاپیک میتونید ساعت مطالعه روزانتون رو گزارش بدید. طبیعتا همه دوست داریم فعالیت ها تو یه تاپیک باشه و نه پراکنده پس تاپیک تکراری نخواهیم داشت.
:date: تاریخ گزارشات رو هم ذکر کنید (مخصوصا اگر گزارش مربوط به ۱ روز قبل میشه).
بازیگران این تاپیک شما هستید پس بترکونید :fire:
موفق باشید :rose: :heart:
:information_source: اگر کنکوری نیستید میتونید از لینک های زیر وارد تاپیک مخصوص خودتون بشید :linked_paperclips: :point_down:
:male-student: :female-student: => :keycap_0: :keycap_1: تاپیک مخصوص دهمی ها
:male-student: :female-student: => :keycap_2: :keycap_1: تاپیک مخصوص یازدهمی ها
@دوازدهم
سلام خدمت دوستان عزیز....خیلی سریع میرم سر اصل مطلب ممکنه خیلیا تو تایم مطالعه از گوشی استفاده نکنن یا خودشون مجازی نداشته باشن و از گوشی خانواده استفاده کنن (مثل من😭)...ولی بعضی وقتا پیش میاد نمیتونی درست مطالعه کنی یا هرچیز دیگه ای من زیاد با آلا آشنایی ندارم حقیقتا ...ولی دوست دارم بعضی وقتا پارت بذارم هرکسی خواست میتونه همراهی کنه
سلام شبتون بخیر
چطورین رفقا؟!
میخام یه چالش بزارم، نمیدونم قبلا همچین تاپیکی بوده یا نه ولی خب من ایجاد کردم دیگه..!😁
رفقا بیاین یه متن بنویسیم و هر جملش با این کلمه شروع بشه: "چقده خوبه که.."
و داشته هامونو بگیم و خدامونو واسه اینکه تو زندگیمون داریمشون شکر کنیم..!✨❤
مثلا متن خودم:
چقد خوبه که میتونم واسه هدفام تلاش کنم...
چقد خوبه که وسط ناامیدی زیاد، بازم امید دارم...
چقد خوبه که عضو انجمن آلا هستم و کلی رفیق دارم...
چقد خوبه که انسانیت درونمو حس میکنم..
چقد خوبه که پیتزا و شیرکاکائو با تی تاپ درمون دردامه...
چقد خوبه که قیمه اختراع شده...
چقد خوبه که میتونم برم بیرون و خونوادم و رفیقامو بغل کنم...
چقد خوبه که سالمم...
چقد خوبه که خونوادم کنارمن...
چقد خوبه که میتونم خودمو کارامو انجام بدم...
چقد خوبه که داداشم هوامو دارم...
چقد خوبه که ...
چقد خوبه که بدنیا اومدم...!
:))))
خدا برای همه ی "چقد خوبه ها که" شکرت..!
بیاین یبار هم که شده بجای نداشته هامون، داشته هامونو بگیم..!
پ.ن: تاپیک رو زدم بخش مشاوره ای، چون فکر میکنم واسه روحیه مون خیلی خوب باشه..!
@دانش-آموزان-آلاء @راه-ابریشم-پرو-زیست @تجربی @دوازدهم @ریاضی-فیزیک @انسانیا @فارغ-التحصیلان-آلاء @دانش-آموزان-نظام-جدید-آلا @راه-ابریشم-پرو-شیمی @راه-ابریشم-پرو-ریاضیات-ریاضی @راه-ابریشم-پرو-فیزیک-کازرانیان @راه-ابریشم-پرو-ریاضی-تجربی
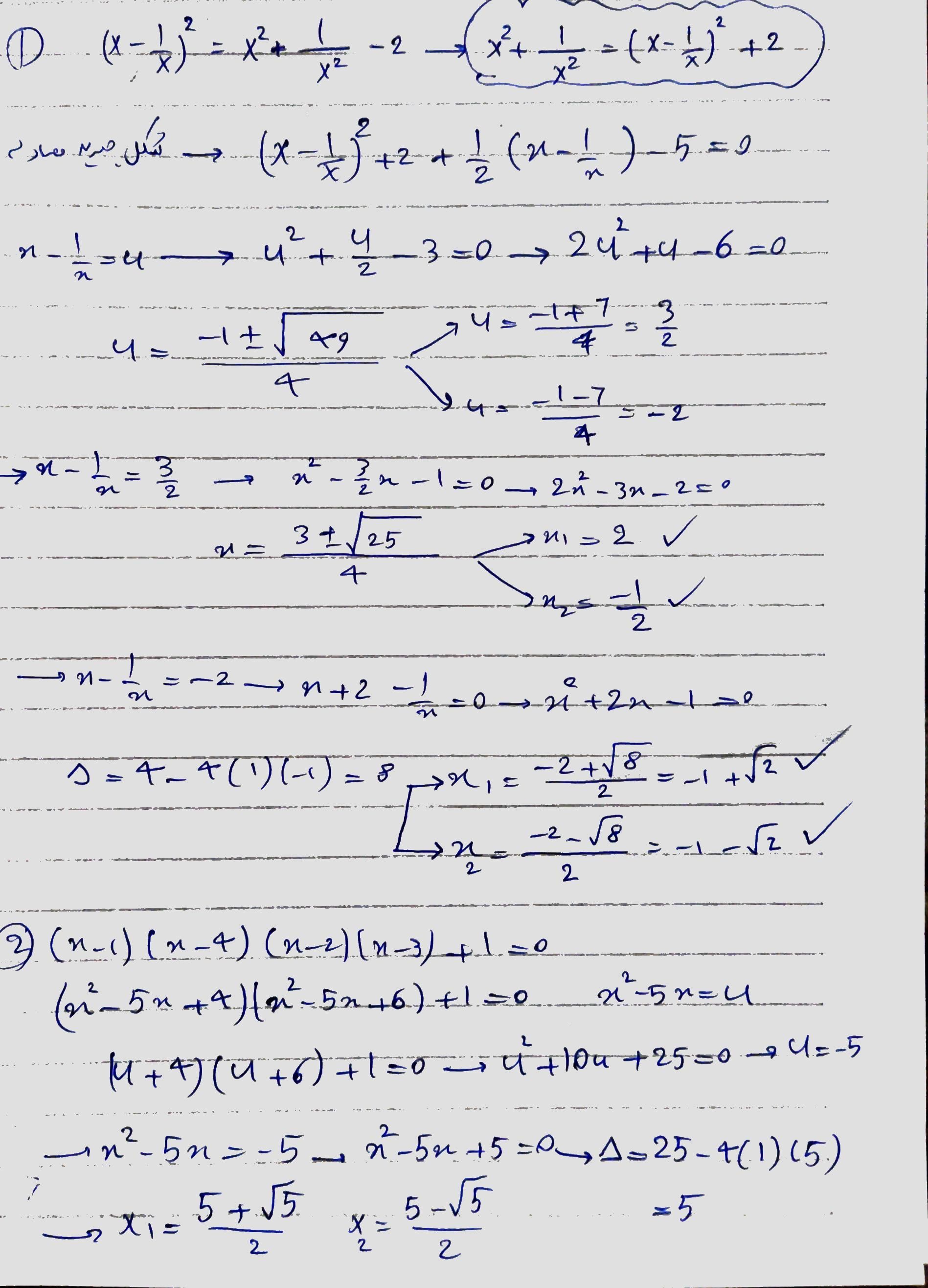
سوالات ریاضی
ریاضی تجربی
6
دیدگاهها
3
کاربران
79
بازدیدها
2
Watching








