Skip to content
  • دسته‌بندی‌ها
  • 0 نخوانده ها: پست‌های جدید برای شما 0
  • جدیدترین پست ها
  • برچسب‌ها
  • سوال‌های درسی و مشاوره‌ای
  • دوره‌های آلاء
  • گروه‌ها
  • راهنمای آلاخونه
    • معرفی آلاخونه
    • سوال‌پرسیدن | انتشار مطالب آموزشی
    • پاسخ‌دادن و مشارکت در تاپیک‌ها
    • استفاده از ابزارهای ادیتور
    • معرفی گروه‌ها
    • لینک‌های دسترسی سریع
پوسته‌ها
  • Light
  • Brite
  • Cerulean
  • Cosmo
  • Flatly
  • Journal
  • Litera
  • Lumen
  • Lux
  • Materia
  • Minty
  • Morph
  • Pulse
  • Sandstone
  • Simplex
  • Sketchy
  • Spacelab
  • United
  • Yeti
  • Zephyr
  • Dark
  • Cyborg
  • Darkly
  • Quartz
  • Slate
  • Solar
  • Superhero
  • Vapor

  • Default (بدون پوسته)
  • بدون پوسته
بستن
Brand Logo

آلاخونه | شبکه اجتماعی دانش آموزی آلاء

  • سوال یا موضوع جدیدی بنویس

  • سوال مشاوره ای
  • سوال زیست
  • سوال ریاضی
  • سوال فیزیک
  • سوال شیمی
  • سایر
  1. خانه
  2. دروس
  3. ریاضی تجربی
  4. متغیر ها
گزارش مطالعه دانشجویی🤓🎓
maryam111M
سلام سلاااام🤩 بچه ها تو این تاپیک میخوایم دانشجوها هم مثل کنکوریا ساعت مطالعه شون رو اعلام کنن ✌ هم انگیزه بشه برای فارغ التحصیلای آلاء تا تو محیط دانشگاه هم دست از تلاشِ آلائی برندارن 💪و هم اینکه کنکوریای با درسایی که دانشجوها میخونن یکم آشنا میشن🤗 پس از امشب استارت این تاپیک رو میزنیم و هرشب میایم و میگیم در طول روز چ درسایی رو خوندیم ،چند ساعت و چیکارا کردیم😁 دعوت میکنم از @فارغ-التحصیلان-آلاء که باهامون همراه بشن🤝 خیلی ممنون از @z-gheibi و @M-ba78 بابت پیشنهاد و همراهیشون❤ راستی از @romisa جانم هم دعوت میکنم بهمون سر بزنه و همراهیمون کنه😍
دانشگاهی
گزارش ساعت مطالعه برای کنکوری ها (تمامی رشته ها)
M
:handshake: سلام خدمت دوستان %(#ff0000)[دوازدهمی]، داخل این تاپیک میتونید ساعت مطالعه روزانتون رو گزارش بدید. طبیعتا همه دوست داریم فعالیت ها تو یه تاپیک باشه و نه پراکنده پس تاپیک تکراری نخواهیم داشت. :date: تاریخ گزارشات رو هم ذکر کنید (مخصوصا اگر گزارش مربوط به ۱ روز قبل میشه). بازیگران این تاپیک شما هستید پس بترکونید :fire: موفق باشید :rose: :heart: :information_source: اگر کنکوری نیستید میتونید از لینک های زیر وارد تاپیک مخصوص خودتون بشید :linked_paperclips: :point_down: :male-student: :female-student: => :keycap_0: :keycap_1: تاپیک مخصوص دهمی ها :male-student: :female-student: => :keycap_2: :keycap_1: تاپیک مخصوص یازدهمی ها @دوازدهم
مشاوره تحصیلی
چگونه در دوران دانشجویی درس بخوانیم
RoverR
سلام و درود بر همه دانشجویان آلاخونه دوستان من از وقتی کنکورم تموم شده یک بار هم نشده که واقعا درس بخونم اصلا یادم رفته که درس خوندن چه شکلیه ترم اول هم که کلا مجازی شد امتحاناتمون باعث شد بدتر از درس فاصله بگیرم به قول یه دوستی اون قسمت از مغزم که مربوط به درس خوندنه رو از دست دادم اصلا هم هیچی برام مهم نیست انگار نه انگار قراره من امتحان بدم هیچکدوم از تکالیفم رو هم انجام نمی دم از اول ترم یه ذره هم درس نخوندم تو یه کلاس هم حاضر نبودم ( فیزیکی حاضر بودم ) یعنی گوش نمی دادم راهی برای بازگشت به صراط درس و مشق و تکلیف بهم یاد بدین شما چطوری بالاخره درس خوندین فکر نمی کردم یه روزی درس خوندن انقدر برام دشوار بشه @دانشجویان-درس-خون @دانشجویان-مهندسی @دانشجویان-پزشکی @دانشجویان-پیراپزشکی @f.nalist @هویججج @Maaah @Nilay @_-Psycho-_ @blue @mahdi.ek @Michael-Vey @Hhh-Hh و باقی دانشجویان درس خوان عزیز
دانشگاهی
Routine Time 💫📒
Michael VeyM
Topic thumbnail image
مشاوره تحصیلی
پارت گذاری
Zahra2020Z
سلام خدمت دوستان عزیز....خیلی سریع میرم سر اصل مطلب ممکنه خیلیا تو تایم مطالعه از گوشی استفاده نکنن یا خودشون مجازی نداشته باشن و از گوشی خانواده استفاده کنن (مثل من😭)...ولی بعضی وقتا پیش میاد نمیتونی درست مطالعه کنی یا هرچیز دیگه ای من زیاد با آلا آشنایی ندارم حقیقتا ...ولی دوست دارم بعضی وقتا پارت بذارم هرکسی خواست میتونه همراهی کنه
مشاوره تحصیلی
MD_MPH کسی در مورد چیزی میدونه؟؟
Nrjs DN
سلام دوستان امیدوارم حالتون خوب باشه دانشجوهای پزشکی و دندون و دارو اطلاعی دارین از این دوره؟؟مزایا و معایب خیلی سخت نمیشه؟
دانشگاهی
زیستاز برای جمع بندی؟
wanderingW
آزمون های زیستاز برای جمع بندی و مرور زیست شناسی مبنع خوبیه؟؟ سطح سوالاش چطوره؟ قلم چی برای امسالشو رو طول سال حل کردم از کتاب ای کیو هم تستای tnt رو زدم تستای کنکور چند سال اخیر رو هم حل کردم الان خوبه برم زیستاز یاا پیشنهاد دیگه ای برای جمع بندی زیست دارین؟ باز برم سراغ باقی تستای آی کیو؟ @_-Psycho-_ @تجربیا @دانش-آموزان-نظام-جدید-آلا @هرکی میتونه راهنمایی کنه
سوال مشاوره ای
اشباع|در نظر گرفتن تمام حالات
HakoH
Topic thumbnail image
گسسته
نکات و جمع بندی‌ 🦋زیست شناسی 🦋
wanderingW
🧩این تاپیک جهت یکجا بودن نکات مهم و جدول‌های جمع بندی درس زیست شناسی🧬 زده شده 🪄آزاد برای مشارکت عموم🪄 لطفا اسپم ندید تا نکات یکپارچه باشه.🙏
زیست شناسی
هنوز تو رشته ای که می خونم شک دارم
7
سلام خوبید. من یازدهم ریاضیم و با علاقه خودم اومدم این رشته. ولی جدیدا فکر می کنم رشتم به درد نمی خوره و درامد نداره و سگ دو زدنه و تهش هیچه بی انگیزه شدم واسه تلاش کردنش. همش حس می کنم اگه بیشتر درس می خوندم و با زیست خودم رو وفق می دادم و می رفتم تجربی به نفعم بود. الان خیلی بی انگیزم و نمی دونم چیکار کنم واسه تغییر رشته هم حس می کنم دیره:))) چیکار کنم به نظرتون
سوال مشاوره ای
آلاء
S
سلام و عرض ادب من شهریار گنج خانلو هستم کنکوری رشته ریاضی و فیزیک یک انتقاد به موسسه آلاء داشتم اون هم اینکه احساس میکنم دیگه مثل سال های گذشته فعال نیست در حالی که خیلی کارها میتونه انجام بده وقتی فعالیت یک موسسه اینطور سرد میشه روی خیلی از دانش آموز ها از جمله خود من تاثیر میزاره مثلا سال گذشته با اینکه همه چیز آروم بود اومدین و در نوروز فعالیت های خفنی انجام دادین و برای فروش پکیج هاتون تخفیف قرار دادین ازتون انتظار دارم که الان که وضعیت دانش آموز ها بدتر از سال های گذشتست بیشتر هواشون رو داشته باشین و یه مقدار بیشتر حواستون به دانش آموزاتون باشه چون از اونجایی که من شناخت دارم آلایی های اصیل همیشه آلایی میمونن معذرت میخوام پرحرفی کردم
مشاوره تحصیلی
شما هم سردرگم شدین ؟
چیچکچ
سلام رفیق ✋ امیدوارم حالت خوب باشه🌸 چند سال پیش من خودم یه روزی دقیقاً جای تو بودم ، یه دانش‌آموز کنکوری پر از استرس و سوال!😵‍💫 اما حالا دانشجوی پزشکی تبریز‌ام و می‌خوام تجربه‌هامو باهات به اشتراک بذارم😁💞 برای چند تا از بچه‌هایی که تو این شرایط واقعا سردرگمن و دنبال یه مشاوره اصولی و کاربلد و اختصاصی هستن ، ظرفیت مشاوره و تدریس زیست باز کردم تا برا امتحانات پایان ترم و کنکور حسابی آماده بشن . طرح رایگان مشاوره هم برای شروع مسیرمون با هم وجود داره تا با خیال راحت تصمیم بگیری 💬 اگه حس می‌کنی وقتشه یه تغییر واقعی بسازی میتونی رو کمک من حساب باز کنی💞🌟 @دانش-آموزان-آلاء @دانش-آموزان-نظام-جدید-آلا @تجربیا 🌸
مشاوره تحصیلی
شیمی |ضرایب سوختن
HAKOOH
سلام سلام اقا تو واکنش سوختن این ضرایب چطوری بودن/...مخصوصا اکسیژن ..همش از ذهنم پریده @تجربیا @ریاضیا @دانش-آموزان-آلاء
شیمی
فیزیک 3|بازه زمانی شناخته شده در هماهنگ ساده
HAKOOH
جرمی متصل به فنر با بسامد 5 هرتز روی پاره خطی به طول 8 سانتی متر در سطح افقی بدون اصطحکاک حرکت هماهنگ ساده انجام می دهد نوسانگر در لحظه t1از یک سانتی متری نقطه تعادل عبور میکند و حرکتش در این لحظه کند شونده است.در لحظه t1حداقل چند ثانیه طول میکشد تا نوسانگر از یک سانتی متری طرف دیگر نقطه عادل عبور کند؟ ذاتا نفهمیدم چی به چیه.... @دانش-آموزان-آلاء @تجربیا @ریاضیا
فیزیک
فیزیک 3|معادله حرکت هماهنگ ساده
HAKOOH
سلام سلام توی این سوال: معادله حرکت هماهنگ ساده در siبه صورت x=AcosWt کمترین زمانی که پس از t=0طول میکشد تا مکان نوسانگر -َA/2(منفی aدوم)شود Tکدام است؟ (Tدوره است) خب توی این سوال ما میدونیم توی توابع مثلثتای در یک دوره دو بار مقدار تابع یکسانه...و جایی کسینوس یک دوم میشه پی سوم و پنج پی سوم هستش ...اما wtرو سوال دو حالت 2پی سوم و 4پی سوم در نظر گرفته...چرا؟متوجهش نشدم پ.ن میدونم خیلی خنگم!!
فیزیک
مشکل محاسباتی |خاستار ضرب و تقسیم شما (ریاضی اول ابتدایی)
HAKOOH
اقاااا من این سوال مشکل محسباتی دارم میشه یکی این محاسبه شو انجام بدههه من یدونه ممیز کم میارممممم.. هوای الوده میتواند شامل ترکیبات الی اکسیژن دار مانند اتانال (همون C2H4Oخودمون ) هم باشد مقدار مجاز این الاینده هوا 320 میلی گرم بر متر مکعب است اگر حجم هوای درون یک خوردو 6000 لیتر باشد مقدار مجاز اتانال درون هوای این خودرو چند مولکول است؟ @دانش-آموزان-آلاء @تجربیا @ریاضیا
شیمی
راهنمایی برای مطالعه و بررسی فرم گزارشکارم، لطفاً بیاید.
E
بسم الله الرحمن الرحیم فرمِ گزارشکارِ گروه ۲۰ نهایی (یازدهم تجربی) 📝 👤 اسم: دانیال مرادپور 🎓 پایه: یازدهم تجربی 🎯 هدف: نمره عالی نهایی 📅 تاریخ: 29 فروردین 📚 دروس مطالعه شده 🟢 زیست‌شناسی: خواندن گفتار ۱ فصل اول 🟠 فیزیک: خواندن مبحث بارالکتریکی، پایستگی و کوانتیده بودن بار 🟣 ریاضی: دیدن فیلم نهایی کرمی تا اتمام تیتر یادآوری و تکمیل معادله خط 🟡 انسان و محیط: اتمام درس اول 🟣 عربی: مرور بخشی از عربی راهنمایی 📊 آمار مطالعاتی ⏳ جمع ساعات مطالعه: در 2 تصویر پایین که پیوست می کنم و اینکه اونجایی که نوشته سلامت بهداشت و هویت، درس انسان و محیط هستش چونکه، کتاب انسان و محیط تو گزینه ها نبود اون رو نوشتم و اون پارت های آخری مرور هستش. 🌟 برنامه‌های فوق‌برنامه: ۱. زبان 🗣️ . مدت زمان: 40 دقیقه · فعالیت انجام شده: خواندن پیش نیاز ها ۲. علم شرعی 📿 . مدت زمان: دیر بیدار شدم نرسیدم انجام بدم، الآن انجامش میدم به مدت ۳۰ مین · فعالیت انجام شده: خواندن کتاب "فرض طلب علم" امام اجری، شرح کتاب توسط ماموستا هه لو 📺 تلویزیون و فضای مجازی 📱 مدت زمان استفاده: 0 😴 وضعیت خواب 🌙 ساعت خواب شب: 22 ☀️ ساعت بیداری صبح: 7.30 📈 ارزیابی روزانه 😊 میزان رضایت از خود: ٪۲۰ ⚠️ مشکلات و موانع روز: دوستان راستش من دهم و یازدهم تجربی رو تقریباً نخوندم و الان میشه گفت سطحم صفره دلیلم هم این بود که اصلاً برنامه‌ریزی درست نداشتم، نمی‌دونستم چطوری باید درس بخونم و کمال‌گرا هم بودم… ولی امروز شروع کردم به خوندن، برنامه‌م اینه دیکع که تا ۳۱ اردیبهشت ان‌شاءالله کتابامو جمع کنم، اما یه مشکلی دارم: موقع خوندن حس می‌کنم کیفیت مطالعه‌م اصلاً خوب نیست😔، مطالب تو ذهنم نمی‌مونه، کند پیش می‌رم، هی وسوسه می‌شم از اول شروع کنم دوباره بخونمش 😓 شما هم اول کار اینطوری بودید؟ چی‌کار کنم بهتر سم؟ یه موضوع دیگه هم اینکه. برای نماز صبح ساعت ۴:۳۰ گوشیمو تنظیم می‌کنم ولی خوابم خیلی سنگینه و بیدار نمی‌شم، معمولاً ۷:۳۰ واینا بیدار می‌شم 😭 اگه راهی بلدید که بتونم بلافاصله با زنگ گوشی بیدار شم، لطفاً راهنماییم کنید🤲 یه مورد دیگه هم هست که یادم رفت بگم قبلاً ویس یک مشاور رو گوش دادم که می‌گفت هر روز بعد از اینکه درستون رو تموم کردید، آخر شب حدود ۱۵ دقیقه همه مطالب خوانده شده همون روز رو روزنامه‌وار مرور کنید. ولی خب، ۱۵ دقیقه خیلی کمه برا مرور همه مطالب! 🤔 من برای هر درس حدود ۱۰-۱۵ دقیقه‌ زمان ازم میبره برا مرور، اونم به صورت روزنامه‌وار و تند، خیلی وقت‌گیره و این مرور باعث از برنامه‌م عقب می‌مونم و دیر بخوابم شما برا مرور چیکار می کنید؟ اگه مطالب رو آخر هر شب مرور نکنم و فقط آخر هفته‌ها مطالب کل هفته رو مرور کنم، مشکلی پیش نمیاد؟ راستش این روش برام منطقی‌تر به نظر می‌رسه. ممنون می‌شم راهنمایی کنید🤲.
سوال مشاوره ای
فیزیک3|فصل3|محاسبه سرعت موج
HAKOOH
در یک تشت موج با یک دیاپازول موج با بسامد 100 هرتز تولید کرده ایم در قسمت عمیق اب فاصله قله تا دره مجاور خود 10سانتی متر در قسمت کم عمیق اب فاصله قله تا دره مجاور خود 5 سانتی متر است سرعت موج در این دو ناحیه رو مقایسه کنین... من مشکلییییی با سوال ندارمااااا ولی مگه فاصله قله تا دره مجاور لاندا دوم نمیشه؟پس چرا پاسخنامه سوال من لاندا چهارم رو با 10 برابر گذاشته و لاندا رو در عمیق 0.4 متر و کم عمق باز به خاطر لاندا چهارم جواب رو 0.2 متر گذاشته؟ @ریاضیا @تجربیا @دانش-آموزان-آلاء
فیزیک
فیزیک3|پدیده رزنانس(تشدید)
HAKOOH
سلام سلام ناز نازیاااااا منظور این جمله رو درک نکردم اصلا... افزایش دامنه نوسانگر در اثر نیروی محرکه ای که با بسامدی برابر بسامد طبعی نوسانگر بر ان وارد میشود.... اصلا نمیتونم این جمله رو درک کنم احساس میکنم ناقصه یا من سردرنمیارممم @دانش-آموزان-آلاء @ریاضیا @تجربیا هلپ می گودی گودیاااا
فیزیک
فیزیک 3(شتاب و گرانش) فصل 3
HAKOOH
سلام بچه هااااااااااااااا خوبیییینننن من این فرمول شتاب تو اسانسور رو سر در نمیارم قسمت اونگ......گفتیم حرکت به بالا و تند باشه + اگه پااین و کند ما منفی میگیریم الان چطوری فرمول و مینویسیمممم نمیفهممم مثلا سوال گفته در حال توقف و به بالا ...اینجا کند داریم یعنی منفی و هم بالا داریم یعنی مثبت الان چطوری باید نوشته بشه ؟ @ریاضیا @تجربیا @دانش-آموزان-نظام-جدید-آلا
فیزیک

متغیر ها

زمان بندی شده سنجاق شده قفل شده است منتقل شده ریاضی تجربی
8 دیدگاه‌ها 3 کاربران 77 بازدیدها 3 Watching
  • قدیمی‌ترین به جدید‌ترین
  • جدید‌ترین به قدیمی‌ترین
  • بیشترین رای ها
پاسخ
  • پاسخ به عنوان موضوع
وارد شوید تا پست بفرستید
این موضوع پاک شده است. تنها کاربرانِ با حق مدیریت موضوع می‌توانند آن را ببینند.
  • Parimah AghajaniP آفلاین
    Parimah AghajaniP آفلاین
    Parimah Aghajani
    نوشته‌شده در آخرین ویرایش توسط انجام شده
    #1

    Screenshot_۲۰۲۰۰۴۱۲-۱۲۳۷۵۶_MoboGram.jpg سوال ۲۰ رو لطفا حل کنین

    1 پاسخ آخرین پاسخ
    1
    • ا آفلاین
      ا آفلاین
      ابراهیم طاها
      نوشته‌شده در آخرین ویرایش توسط انجام شده
      #2

      کدوم؟

      Parimah AghajaniP 1 پاسخ آخرین پاسخ
      0
      • ا ابراهیم طاها

        کدوم؟

        Parimah AghajaniP آفلاین
        Parimah AghajaniP آفلاین
        Parimah Aghajani
        نوشته‌شده در آخرین ویرایش توسط انجام شده
        #3

        @حسین-81 سوال ۲۰ رو دیگه

        1 پاسخ آخرین پاسخ
        0
        • VirusV آفلاین
          VirusV آفلاین
          Virus
          اخراج شده
          نوشته‌شده در آخرین ویرایش توسط انجام شده
          #4

          گزینه 3
          جذر b میشه 2 منهای رادیکال 3
          با همین بری جلو میرسی ب جواب

          Parimah AghajaniP 2 پاسخ آخرین پاسخ
          1
          • VirusV Virus

            گزینه 3
            جذر b میشه 2 منهای رادیکال 3
            با همین بری جلو میرسی ب جواب

            Parimah AghajaniP آفلاین
            Parimah AghajaniP آفلاین
            Parimah Aghajani
            نوشته‌شده در آخرین ویرایش توسط انجام شده
            #5

            Virus ممنون

            1 پاسخ آخرین پاسخ
            0
            • VirusV Virus

              گزینه 3
              جذر b میشه 2 منهای رادیکال 3
              با همین بری جلو میرسی ب جواب

              Parimah AghajaniP آفلاین
              Parimah AghajaniP آفلاین
              Parimah Aghajani
              نوشته‌شده در آخرین ویرایش توسط انجام شده
              #6

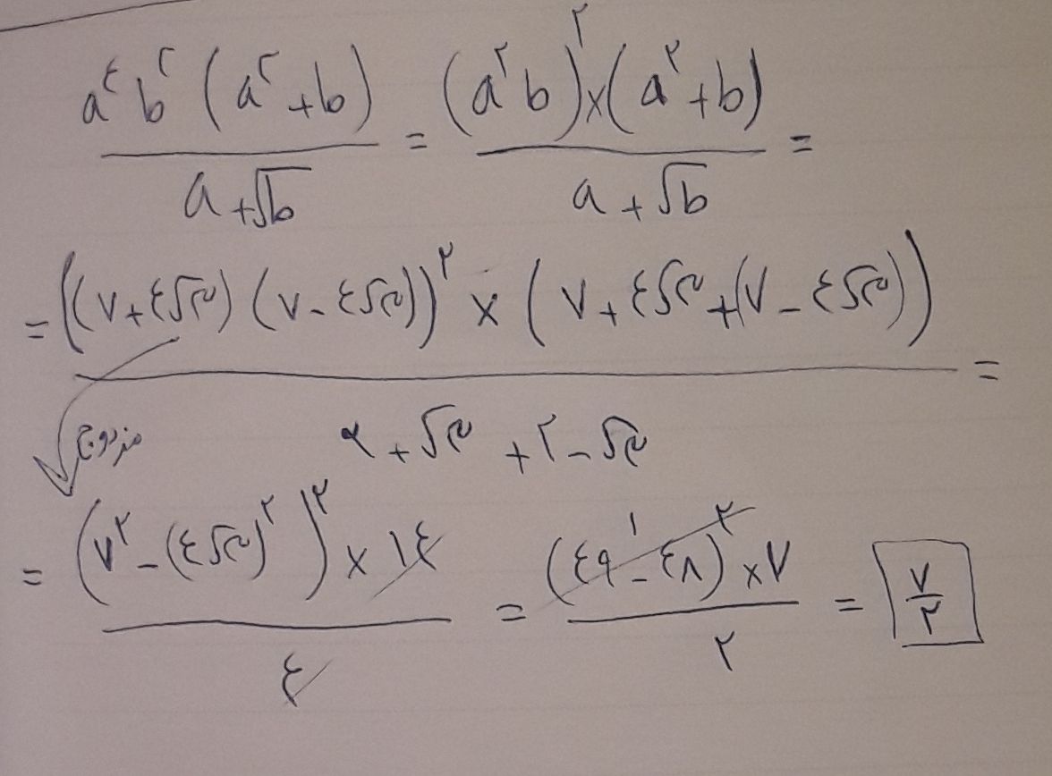
              Virus ببخشید این عکس جوابشه میشه توضیح بدین15866974827515836766711869892097.jpg یک جایی از جوابش فک می کنم نوشته b به توان ۴ .فهمیدم که bرو چطور انتخاب کرده ولی در جاگذاری ها مشکل دارم و نتونستم جواب رو بدست بیارم خلاصه اگه میشه برای من توضیحش بدین تا بفهمم🙏🙏🙏

              VirusV 1 پاسخ آخرین پاسخ
              0
              • Parimah AghajaniP Parimah Aghajani

                Virus ببخشید این عکس جوابشه میشه توضیح بدین15866974827515836766711869892097.jpg یک جایی از جوابش فک می کنم نوشته b به توان ۴ .فهمیدم که bرو چطور انتخاب کرده ولی در جاگذاری ها مشکل دارم و نتونستم جواب رو بدست بیارم خلاصه اگه میشه برای من توضیحش بدین تا بفهمم🙏🙏🙏

                VirusV آفلاین
                VirusV آفلاین
                Virus
                اخراج شده
                نوشته‌شده در آخرین ویرایش توسط انجام شده
                #7

                Parimah Aghajani 20200412_183430.jpg
                از ادامه همون پاسخنامت رفتم
                درواقع a^2 همون مزدوج b هستش
                همینجور بری جلو بدست میاد

                Parimah AghajaniP 1 پاسخ آخرین پاسخ
                2
                • VirusV Virus

                  Parimah Aghajani 20200412_183430.jpg
                  از ادامه همون پاسخنامت رفتم
                  درواقع a^2 همون مزدوج b هستش
                  همینجور بری جلو بدست میاد

                  Parimah AghajaniP آفلاین
                  Parimah AghajaniP آفلاین
                  Parimah Aghajani
                  نوشته‌شده در آخرین ویرایش توسط انجام شده
                  #8

                  Virus ممنون

                  1 پاسخ آخرین پاسخ
                  0
                  پاسخ
                  • پاسخ به عنوان موضوع
                  وارد شوید تا پست بفرستید
                  • قدیمی‌ترین به جدید‌ترین
                  • جدید‌ترین به قدیمی‌ترین
                  • بیشترین رای ها


                  • درون آمدن

                  • حساب کاربری ندارید؟ نام‌نویسی

                  • برای جستجو وارد شوید و یا ثبت نام کنید
                  • اولین پست
                    آخرین پست
                  0
                  • دسته‌بندی‌ها
                  • نخوانده ها: پست‌های جدید برای شما 0
                  • جدیدترین پست ها
                  • برچسب‌ها
                  • سوال‌های درسی و مشاوره‌ای
                  • دوره‌های آلاء
                  • گروه‌ها
                  • راهنمای آلاخونه
                    • معرفی آلاخونه
                    • سوال‌پرسیدن | انتشار مطالب آموزشی
                    • پاسخ‌دادن و مشارکت در تاپیک‌ها
                    • استفاده از ابزارهای ادیتور
                    • معرفی گروه‌ها
                    • لینک‌های دسترسی سریع