اشکال
-
M Tg این پاسخ سوالای یازدهم...
دوازدهما رو وقت نکردم بنویسم ،یکم دیگه حتما برات میفرستم جوابشونو...
هر جاشو متوجه نشدی ،حتما بگو تا توضیح بدم :)
-
M Tg این پاسخ سوالای یازدهم...
دوازدهما رو وقت نکردم بنویسم ،یکم دیگه حتما برات میفرستم جوابشونو...
هر جاشو متوجه نشدی ،حتما بگو تا توضیح بدم :)
استاد سوال ۹ چرا اینجوری شده؟؟ مگه نمیشه بنویسیم ۳؟؟
-
M Tg این پاسخ سوالای یازدهم...
دوازدهما رو وقت نکردم بنویسم ،یکم دیگه حتما برات میفرستم جوابشونو...
هر جاشو متوجه نشدی ،حتما بگو تا توضیح بدم :)
Amin Mojarradi اینو درست حل کردم؟!

-
استاد سوال ۹ چرا اینجوری شده؟؟ مگه نمیشه بنویسیم ۳؟؟
M Tg نه نمیشه بنویسید 3 چون اون 3 نسبیه ینی شما از سینوس استفاده کردی و به نسبته a به بقیه اضلاع رسیدی نه مقدار دقیق a
واسه پیدا کردن مقدار دقیقش باید از معادله ای که بهتون داده استفاده کنید

-
Amin Mojarradi اینو درست حل کردم؟!

-
-
استاد سوال ۹ چرا اینجوری شده؟؟ مگه نمیشه بنویسیم ۳؟؟
M Tg با اعدادی که جایگذاری کردی ،درسته.....
ولی ممکنه یه بنده خدایی به جای گذاشتن ضلع ۵ و۴ برای اون دو تا ضلع ،بیاد ۱۰ و ۸ بذاره؛ اون موقع جواب میشه ۶ نه ۳
با هر عدد گذای به جواب جدید ب دست میاد ...
واسه همین حتما باید از داده های سوال برای ب دست اوردن جواب این سوال استفاده کنی...
که این دوستمون حل کردن.... -
Amin Mojarradi اینو درست حل کردم؟!

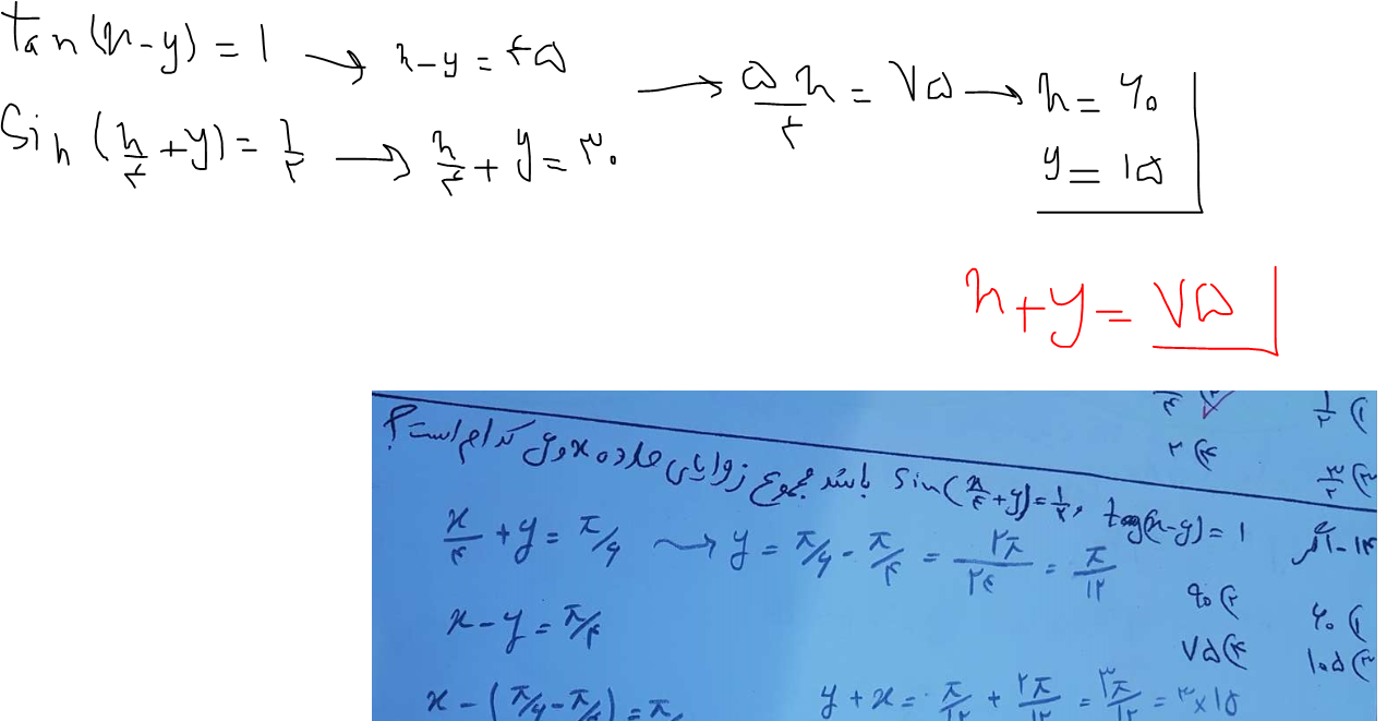
M Tg داشتی درست حل میکردی...
ولی همون خط اول x و پی رو با هم یکی فرض کردی و از هم جمع و تفریق کردی 😐
حواست نبوده وگرنه داشتی درست حل میکردی...یه بار دیگه حل کنی درست میشه (به پی و ایکس ها دقت کن! یکی نیستن ک بخای جمع یا تفریق کنی😅)
فقط برای حل این سوال باید بدونی که تانژانت ۴۵ میشه یک و سینوس ۳۰ هم میشه یک دوم ...
بقیش جمع و تفریقه :)
متوجه شدی کجا رو اشتباه حل کردی؟
هر جاشو نفهمیدی بگو تا توضیح بدم :) -
M Tg داشتی درست حل میکردی...
ولی همون خط اول x و پی رو با هم یکی فرض کردی و از هم جمع و تفریق کردی 😐
حواست نبوده وگرنه داشتی درست حل میکردی...یه بار دیگه حل کنی درست میشه (به پی و ایکس ها دقت کن! یکی نیستن ک بخای جمع یا تفریق کنی😅)
فقط برای حل این سوال باید بدونی که تانژانت ۴۵ میشه یک و سینوس ۳۰ هم میشه یک دوم ...
بقیش جمع و تفریقه :)
متوجه شدی کجا رو اشتباه حل کردی؟
هر جاشو نفهمیدی بگو تا توضیح بدم :)Amin Mojarradi چه فرقی میکنه من گذاشتم پیچهارم یا ۴۵😕
-
M Tg داشتی درست حل میکردی...
ولی همون خط اول x و پی رو با هم یکی فرض کردی و از هم جمع و تفریق کردی 😐
حواست نبوده وگرنه داشتی درست حل میکردی...یه بار دیگه حل کنی درست میشه (به پی و ایکس ها دقت کن! یکی نیستن ک بخای جمع یا تفریق کنی😅)
فقط برای حل این سوال باید بدونی که تانژانت ۴۵ میشه یک و سینوس ۳۰ هم میشه یک دوم ...
بقیش جمع و تفریقه :)
متوجه شدی کجا رو اشتباه حل کردی؟
هر جاشو نفهمیدی بگو تا توضیح بدم :)Amin Mojarradi اهان دیدمش یهو ایکس و پی یکی شده😂
-
Amin Mojarradi اهان دیدمش یهو ایکس و پی یکی شده😂
M Tg اره😂😂
عیب نداره...سعی کن پی هاتو یه جور دیگه بنویسی...
من هم یه سری از دوستام توی فصل ۲ فیزیک یازدهم، نیروی محرکه رو با عدد ۴ اشتباه میکنن...
خیلی شبیه به هم هست :) -
Shadow Runner مرسی فهمیدم کاملا
-
M Tg اره😂😂
عیب نداره...سعی کن پی هاتو یه جور دیگه بنویسی...
من هم یه سری از دوستام توی فصل ۲ فیزیک یازدهم، نیروی محرکه رو با عدد ۴ اشتباه میکنن...
خیلی شبیه به هم هست :)Amin Mojarradi چجوری بنویسم😕
-
Amin Mojarradi چجوری بنویسم😕
M Tg مربعی که ضلع پایین نداره :)
-
M Tg مربعی که ضلع پایین نداره :)
Amin Mojarradi 😂😂چشم










