ریاضی دهم فصل ۱
-
سلام وقت بخیر
میشه این سوالو توضیح بدید
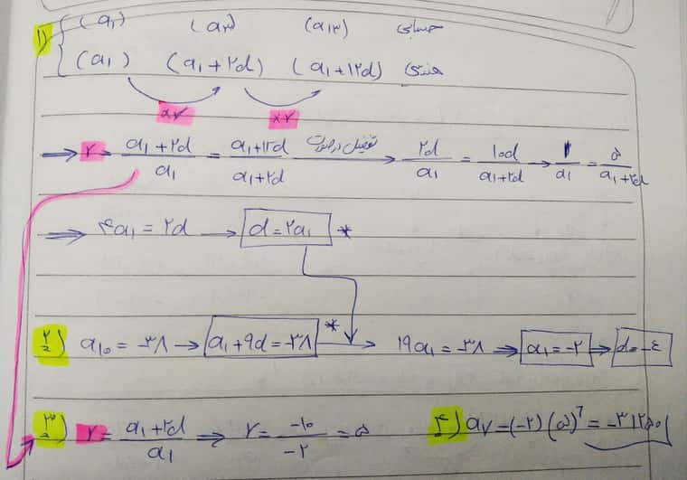
در یک الگوی خطی جملات اول سوم و سیزدهم تشکیل یک دنباله هندسی میدهند اگر جمله دهم دنباله خطی برابر ۳۸- باشد جمله هفتم دنباله هندسی کدام است؟
۱) ۱۲۵۰۰۰- ۲)۶۲۵۰۰- ۳)۳۱۲۵۰- ۴)۱۵۶۲۵- -
M mlika hoveida marked this topic as a question on
-
?
-
?
mlika hoveida میشه سوال رو کامل بفرستین
-
mlika hoveida میشه سوال رو کامل بفرستین
@حمید-صباحی

-
@حمید-صباحی

mlika hoveida گزینه ۳ جوابه؟
-
mlika hoveida گزینه ۳ جوابه؟
@حمید-صباحی اره👏👏
حالا میشه توضیحش بدی😂🙃 -
mlika hoveida گزینه ۳ جوابه؟
@حمید-صباحی راه حلت را میگیی؟؟؟
-
@حمید-صباحی راه حلت را میگیی؟؟؟
mlika hoveida باشه
-
سلام وقت بخیر
میشه این سوالو توضیح بدید
در یک الگوی خطی جملات اول سوم و سیزدهم تشکیل یک دنباله هندسی میدهند اگر جمله دهم دنباله خطی برابر ۳۸- باشد جمله هفتم دنباله هندسی کدام است؟
۱) ۱۲۵۰۰۰- ۲)۶۲۵۰۰- ۳)۳۱۲۵۰- ۴)۱۵۶۲۵- -
سلام وقت بخیر
میشه این سوالو توضیح بدید
در یک الگوی خطی جملات اول سوم و سیزدهم تشکیل یک دنباله هندسی میدهند اگر جمله دهم دنباله خطی برابر ۳۸- باشد جمله هفتم دنباله هندسی کدام است؟
۱) ۱۲۵۰۰۰- ۲)۶۲۵۰۰- ۳)۳۱۲۵۰- ۴)۱۵۶۲۵- -
سلام وقت بخیر
میشه این سوالو توضیح بدید
در یک الگوی خطی جملات اول سوم و سیزدهم تشکیل یک دنباله هندسی میدهند اگر جمله دهم دنباله خطی برابر ۳۸- باشد جمله هفتم دنباله هندسی کدام است؟
۱) ۱۲۵۰۰۰- ۲)۶۲۵۰۰- ۳)۳۱۲۵۰- ۴)۱۵۶۲۵-mlika hoveida متوجه شدین؟
-
سلام وقت بخیر
میشه این سوالو توضیح بدید
در یک الگوی خطی جملات اول سوم و سیزدهم تشکیل یک دنباله هندسی میدهند اگر جمله دهم دنباله خطی برابر ۳۸- باشد جمله هفتم دنباله هندسی کدام است؟
۱) ۱۲۵۰۰۰- ۲)۶۲۵۰۰- ۳)۳۱۲۵۰- ۴)۱۵۶۲۵-mlika hoveida سلام/ حل بدون حتی ۱ فرمول

-
mlika hoveida سلام/ حل بدون حتی ۱ فرمول

hamed bagheri 0 ممنونم
-
mlika hoveida متوجه شدین؟
@حمید-صباحی بله خیلی متشکرم
-
M mlika hoveida has marked this topic as solved on



