حرکت2
-
Farhan Honar بلی
@Alzahra-Daftar

یکم نامنظم نوشتم.پوزش. -
آقا همچنان من نمیفهمم
ممنونم از همگی که زحمت کشیدیدن🙏🏼 -
M Mr. Wick has marked this topic as solved on
-
@Mr-Wick خب 1 رو 25 صدم جمع کن :)
یا
100 رو با 25 جمع کن -
@Mr-Wick
باید خودم وارد بشم 😂 -
HANIYE bh
،😂😂 -
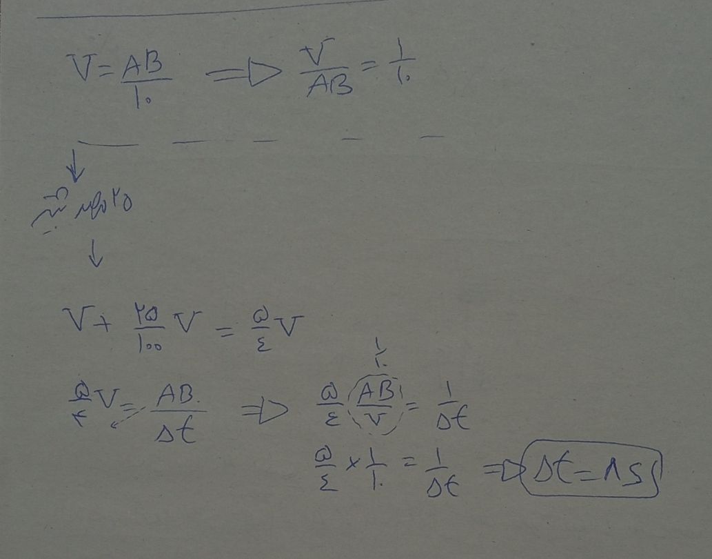
یک نفر که گوشی داره و میتونه عکس بگیره
افزایش و کاهش درصد رو بنویسه رو کاغذ و حتی به کسر هم تبدیلش کنه
متاسفانه خودم با سیستم هستم :)
مشکلشون حل میشه -
@Alzahra-Daftar
متاسفانه 🙁🥲 -
یک نفر که گوشی داره و میتونه عکس بگیره
افزایش و کاهش درصد رو بنویسه رو کاغذ و حتی به کسر هم تبدیلش کنه
متاسفانه خودم با سیستم هستم :)
مشکلشون حل میشهHANIYE bh

خوش خط نوشتم😎 -

به مغزم خیلی فشار آوردماااااا
کاش یکیتون اینطوری میگفت بهم🙂 -
@Mr-Wick
منتظر بودم بیای دگ نیومدی

-
HANIYE bh

خوش خط نوشتم😎Mahan Xodayi 2 احسنت😂😂
-
@Mr-Wick در حرکت2 گفته است:

به مغزم خیلی فشار آوردماااااا
کاش یکیتون اینطوری میگفت بهم🙂کاش ویسمو با دقت گوش میکردین :)
چون عینا تک تک همین مراحلو با همین شیوه گفتم :) -
Mahan Xodayi 2 احسنت😂😂
HANIYE bh نمیدونین که من برا خوش خط نوشتن چه زجری میکشم😕 در حالت عادی خطم انگار ردپای کرم خاکیه://همون قدر چسبنده زشت

