Math
-


۲۱۳۱
چرا جواب من غلط میاد؟! -
-
@Soniaaa
سلام ، امیدوارم حالتون خوب باشه :hibiscus:

بزارین براتون توضیح بدم :
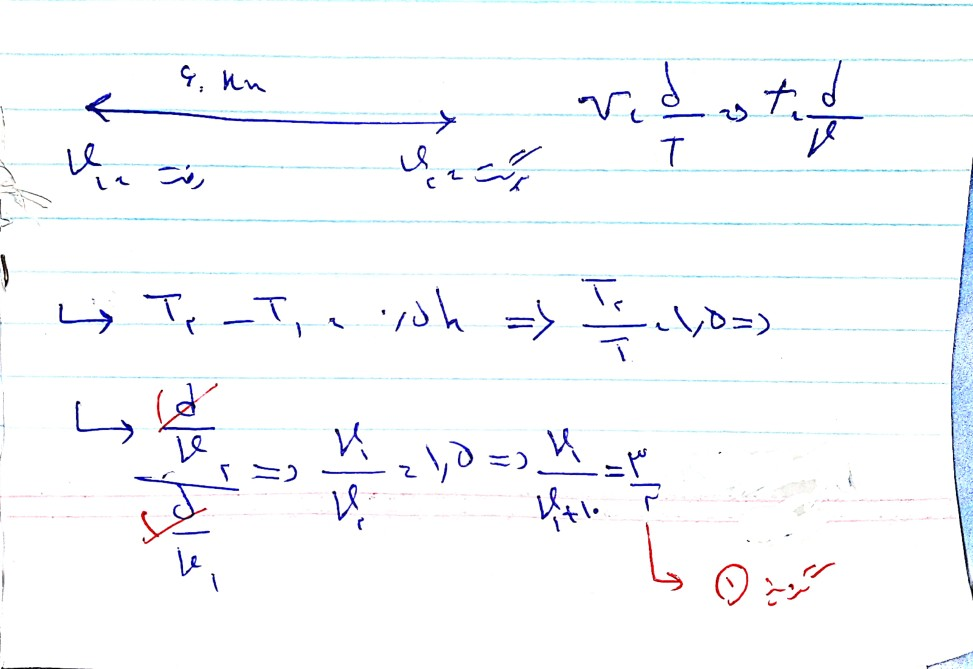
فرمول سرعت هست V = d/t خب اینجور سوالات بهتره که Time base حل بشن یعنی با زمان حل بشن ، چجوری ؟
خب طبق فرمول T = d/v که اون بالا سمت راست هم نوشتم
حالا سوال میگه نیم ساعت دیر میرسد یعنی حاجی جان T2 منهای T1 میشه نیم ساعت که نوشتم
خب بنابراین میشه فهمید که انگــــاری T2 به روی T1 بوده یک و نیم
خب حالا بجای T میایم فرمول d/v رو میزاریم ، ناراحت نشدید که ؟ خداروشکر :beaming_face_with_smiling_eyes:
حالا قبول داری d ثابته ؟
خب آفرین پس بیا سادش کنیم
حالا داریم V1 به روی V2 برابر با 1.5 یا سه دوم.موفق باشید :hibiscus: :rose: :smiling_face:
پانوشت : اولین باریه که دارم توی ریاضی به بقیه کمک میکنم :face_with_tears_of_joy: :face_with_tears_of_joy: :face_with_tears_of_joy:
-
@Soniaaa سلام اشتباه راهتون اینجا هست که زمان اولیه رو h گرفتین بعد نیم ساعت دیرتر رو هم ½h درحالی که نیم ساعت دیرتر یعنی ۰.۵ و زمان h یعنی در واقع زمان اولیه مجهول هست
-

-
@Soniaaa سلام اشتباه راهتون اینجا هست که زمان اولیه رو h گرفتین بعد نیم ساعت دیرتر رو هم ½h درحالی که نیم ساعت دیرتر یعنی ۰.۵ و زمان h یعنی در واقع زمان اولیه مجهول هست
Mr Unknown XD
آها گرفتم چیشد خیلی ممنون 🌻✨ -
L lO_Ol marked this topic as a question on
-
L lO_Ol has marked this topic as solved on







