سوال فیزیک
-
ابعاد مکعب مستطیل توپری به ابعاد ۷×۶×۴cm و چگالی ماده سازنده آن ۵ گرم بر سانتی متر مکعب است وقتی این مکعب مستطیل را از بزرگترین وجه روی سطح افقی قرار می دهیم وزنه چند نیوتونی بر روی آن قرار دهیم تا فشاری که بر سطح افقی وارد میکند اندازه فشاری باشد که از روی کوچکترین وجه روی سطح افقی قرار می گیرد به سطح وارد میکند؟
۱_ ۳/۶ ۲_۴/۲ ۳_۶/۳ ۴_۵/۴ -
ابعاد مکعب مستطیل توپری به ابعاد ۷×۶×۴cm و چگالی ماده سازنده آن ۵ گرم بر سانتی متر مکعب است وقتی این مکعب مستطیل را از بزرگترین وجه روی سطح افقی قرار می دهیم وزنه چند نیوتونی بر روی آن قرار دهیم تا فشاری که بر سطح افقی وارد میکند اندازه فشاری باشد که از روی کوچکترین وجه روی سطح افقی قرار می گیرد به سطح وارد میکند؟
۱_ ۳/۶ ۲_۴/۲ ۳_۶/۳ ۴_۵/۴09165279981
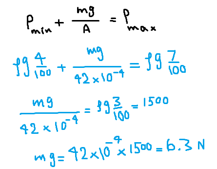
وقتی بزرگترین وجه روی زمین هست فشار مینیمم هست : P_min
وقتی کوچکترین وجه روی زمین هست فشار ماکزیمم هست : P_maxمکعب از بزرگترین وجه روی زمین قرار داره یک وزنه بهش اضافه میکنیم فشاری که وارد میکنه به اندازه mg/A زیاد میشه تا با P-max برابر بشه.








