Fizik
-
M mlika hoveida marked this topic as a question on
-
سلام. دو تا چیز رو نمیفهمم.
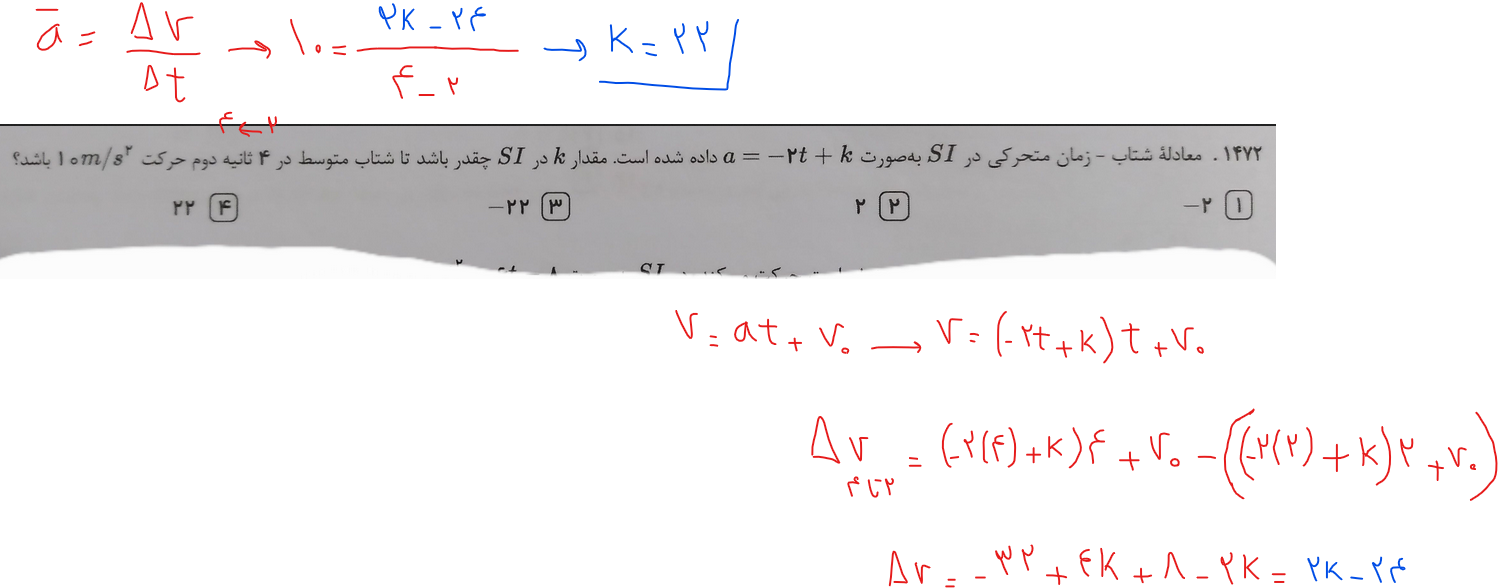
چرا بازه 2 تا 4 رو در نظر گرفتی؟ مگر نگفته 4 ثانیه دوم؟ یعنی بازه (4s,8s)
و اینکه چرا از معادله سرعت-زمان برای شتاب ثابت استفاده کردی؟ اینجا شتاب ثابت نیست و با زمان تغییر میکنه.اما جواب آخر که بدست آوردی بنظر درسته!
-
این پست پاک شده!
-
سلام. دو تا چیز رو نمیفهمم.
چرا بازه 2 تا 4 رو در نظر گرفتی؟ مگر نگفته 4 ثانیه دوم؟ یعنی بازه (4s,8s)
و اینکه چرا از معادله سرعت-زمان برای شتاب ثابت استفاده کردی؟ اینجا شتاب ثابت نیست و با زمان تغییر میکنه.اما جواب آخر که بدست آوردی بنظر درسته!
-
@MaTiN-S پرام چ شانسی
نه این که ایراد داره واقعا نمیدونم چطور اونو 2ثانیه دوم دیدم
یحتمل گزینه ها بر اساس همون 2 ثانیه دوم چیده شده اشتباه تایپی چیزیه
این میشه ک اصن تو گزینه ها نیس

-
@MaTiN-S وای چرا من شتاب ثابت رفتم :cat_face_with_tears_of_joy: :cat_face_with_tears_of_joy:

بابا انقد تو نظام جدید شتاب ثابت بُلد شده لامصب هر سوالی میدن ادم خود ب خود شتاب ثابت میره بعد یهو میبینی از 200 تا سوال یهو ی شتاب متغیر میدن باز خود ب خود شتاب ثابت میری
-
وای پاره شدم از خنده تو اولین عکس معادله شتابو جاگذاری کردم تو معادله سرعت حرکت با شتاب ثابت :cat_face_with_tears_of_joy: :cat_face_with_tears_of_joy: :cat_face_with_tears_of_joy:
حالا این که با انتگرال حل شد اخر، ولی دانش اموزی ک انتگرال بلد نباشه و از معادله شتاب به سرعت نتونه برسه باید چیکار کنه
-
@MaTiN-S وای چرا من شتاب ثابت رفتم :cat_face_with_tears_of_joy: :cat_face_with_tears_of_joy:

بابا انقد تو نظام جدید شتاب ثابت بُلد شده لامصب هر سوالی میدن ادم خود ب خود شتاب ثابت میره بعد یهو میبینی از 200 تا سوال یهو ی شتاب متغیر میدن باز خود ب خود شتاب ثابت میری
آدمک
الان کاملا درسته. اما شما از انتگرال استفاده کردی و دبیرستان انتگرال یاد نمیدن.
شاید سوال نظام قدیمه.حالا این که با انتگرال حل شد اخر، ولی دانش اموزی ک انتگرال بلد نباشه و از معادله شتاب به سرعت نتونه برسه باید چیکار کنه
حل بدون استفاده مستقیم از انتگرال :
نمودار a-t رو رسم میکنیم. سطح زیر نمودار به ما تغییرات سرعت رو میده پس باید سطح زیر نمودار رو در بازه 4 تا 8 ثانیه حساب کرد. تغییرات سرعت که پیدا شد چون شتاب متوسط و زمان تغییرات مشخصه k پیدا میشه. -
آدمک
الان کاملا درسته. اما شما از انتگرال استفاده کردی و دبیرستان انتگرال یاد نمیدن.
شاید سوال نظام قدیمه.حالا این که با انتگرال حل شد اخر، ولی دانش اموزی ک انتگرال بلد نباشه و از معادله شتاب به سرعت نتونه برسه باید چیکار کنه
حل بدون استفاده مستقیم از انتگرال :
نمودار a-t رو رسم میکنیم. سطح زیر نمودار به ما تغییرات سرعت رو میده پس باید سطح زیر نمودار رو در بازه 4 تا 8 ثانیه حساب کرد. تغییرات سرعت که پیدا شد چون شتاب متوسط و زمان تغییرات مشخصه k پیدا میشه. -
آدمک
الان کاملا درسته. اما شما از انتگرال استفاده کردی و دبیرستان انتگرال یاد نمیدن.
شاید سوال نظام قدیمه.حالا این که با انتگرال حل شد اخر، ولی دانش اموزی ک انتگرال بلد نباشه و از معادله شتاب به سرعت نتونه برسه باید چیکار کنه
حل بدون استفاده مستقیم از انتگرال :
نمودار a-t رو رسم میکنیم. سطح زیر نمودار به ما تغییرات سرعت رو میده پس باید سطح زیر نمودار رو در بازه 4 تا 8 ثانیه حساب کرد. تغییرات سرعت که پیدا شد چون شتاب متوسط و زمان تغییرات مشخصه k پیدا میشه.@MaTiN-S سعی کردم با سطح زیر نمودار حل کنم ولی فک نکنم بشه ها
خبر نداریم تغییر جهت شتاب کجا رخ میده
بیرون از 4 تا 8 یا داخلش یا رو 4 یا رو 8
واسه همین بنظرم نمیشه مقایسه درستی بین مساحتا داشته باشیم و تغییرات سرعت رو برابرش قرار بدیم
نظرت چیه -
@MaTiN-S سعی کردم با سطح زیر نمودار حل کنم ولی فک نکنم بشه ها
خبر نداریم تغییر جهت شتاب کجا رخ میده
بیرون از 4 تا 8 یا داخلش یا رو 4 یا رو 8
واسه همین بنظرم نمیشه مقایسه درستی بین مساحتا داشته باشیم و تغییرات سرعت رو برابرش قرار بدیم
نظرت چیه -
mlika hoveida اگر انتگرال بلد نیستید(که نبایدم بلد باشید) از این سوال بگذرید واسه نظام قدیم بوده
-
@MaTiN-S سعی کردم با سطح زیر نمودار حل کنم ولی فک نکنم بشه ها
خبر نداریم تغییر جهت شتاب کجا رخ میده
بیرون از 4 تا 8 یا داخلش یا رو 4 یا رو 8
واسه همین بنظرم نمیشه مقایسه درستی بین مساحتا داشته باشیم و تغییرات سرعت رو برابرش قرار بدیم
نظرت چیه -
-
آدمک چرا مثلا همین که سرعت متوسط ۴۰ هست یعنی امکان نداره در بازه ۴ تا ۸ علامت شتاب عوض بشه.
-
@MaTiN-S نه اخه سرعت متوسط 40 نیس تغییرات سرعت 40عه
ینی میتونه مساحته فقط مثبت باشه یا قسمتی منفی هم داشته باشه ک جمعشون بشه 40 باز -
@MaTiN-S نه اخه سرعت متوسط 40 نیس تغییرات سرعت 40عه
ینی میتونه مساحته فقط مثبت باشه یا قسمتی منفی هم داشته باشه ک جمعشون بشه 40 باز









