Fizik
-
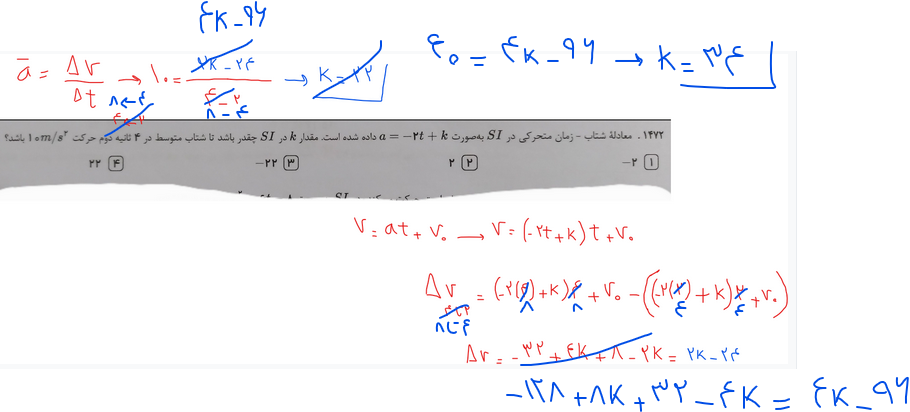
آدمک حالت سبز قابل قبول نیست اصلا لازم نبود حساب کنی.
الانم حساب کردی k رو ۲۲ داد و زمان k/2=11 میشه ولی اون زمان k/2 باید بین 4 و 8 باشه.
-
آدمک
فرص کن در 8 علامت شتاب عوض میشه. دلتا وی میشه 16 و اصلا به ۴۰ نمیرسه. حالا اگ ۸ رد کنه محل تقاطع رو دلتا وی از 16 باز کمتر میشه و به ۴۰ نمیرسه اصلا! پس فقط یه حالت قابل قبوله.بدون انتگرال حل سوال خیلی ریزبینی میخواد طراح از همین سوء استفاده کرده. چون پارامتر k رو نداریم تا خط رو راحت رسم کنیم.
-
آدمک
فرص کن در 8 علامت شتاب عوض میشه. دلتا وی میشه 16 و اصلا به ۴۰ نمیرسه. حالا اگ ۸ رد کنه محل تقاطع رو دلتا وی از 16 باز کمتر میشه و به ۴۰ نمیرسه اصلا! پس فقط یه حالت قابل قبوله.بدون انتگرال حل سوال خیلی ریزبینی میخواد طراح از همین سوء استفاده کرده. چون پارامتر k رو نداریم تا خط رو راحت رسم کنیم.
-
@MaTiN-S پرام چ شانسی
نه این که ایراد داره واقعا نمیدونم چطور اونو 2ثانیه دوم دیدم
یحتمل گزینه ها بر اساس همون 2 ثانیه دوم چیده شده اشتباه تایپی چیزیه
این میشه ک اصن تو گزینه ها نیس

-
آدمک خودش ی راست ۶ رو گذاشته توش
mlika hoveida عجب:cat_face_with_tears_of_joy:
-
یا خدا
-
M mlika hoveida marked this topic as a regular topic on






