سلام سلاااام🤩
بچه ها تو این تاپیک میخوایم دانشجوها هم مثل کنکوریا ساعت مطالعه شون رو اعلام کنن ✌
هم انگیزه بشه برای فارغ التحصیلای آلاء تا تو محیط دانشگاه هم دست از تلاشِ آلائی برندارن 💪و هم اینکه کنکوریای با درسایی که دانشجوها میخونن یکم آشنا میشن🤗
پس از امشب استارت این تاپیک رو میزنیم و هرشب میایم و میگیم در طول روز چ درسایی رو خوندیم ،چند ساعت و چیکارا کردیم😁
دعوت میکنم از @فارغ-التحصیلان-آلاء که باهامون همراه بشن🤝
خیلی ممنون از @z-gheibi و @M-ba78 بابت پیشنهاد و همراهیشون❤
راستی از @romisa جانم هم دعوت میکنم بهمون سر بزنه و همراهیمون کنه😍
:handshake: سلام خدمت دوستان %(#ff0000)[دوازدهمی]، داخل این تاپیک میتونید ساعت مطالعه روزانتون رو گزارش بدید. طبیعتا همه دوست داریم فعالیت ها تو یه تاپیک باشه و نه پراکنده پس تاپیک تکراری نخواهیم داشت.
:date: تاریخ گزارشات رو هم ذکر کنید (مخصوصا اگر گزارش مربوط به ۱ روز قبل میشه).
بازیگران این تاپیک شما هستید پس بترکونید :fire:
موفق باشید :rose: :heart:
:information_source: اگر کنکوری نیستید میتونید از لینک های زیر وارد تاپیک مخصوص خودتون بشید :linked_paperclips: :point_down:
:male-student: :female-student: => :keycap_0: :keycap_1: تاپیک مخصوص دهمی ها
:male-student: :female-student: => :keycap_2: :keycap_1: تاپیک مخصوص یازدهمی ها
@دوازدهم
سلام خدمت دوستان عزیز....خیلی سریع میرم سر اصل مطلب ممکنه خیلیا تو تایم مطالعه از گوشی استفاده نکنن یا خودشون مجازی نداشته باشن و از گوشی خانواده استفاده کنن (مثل من😭)...ولی بعضی وقتا پیش میاد نمیتونی درست مطالعه کنی یا هرچیز دیگه ای من زیاد با آلا آشنایی ندارم حقیقتا ...ولی دوست دارم بعضی وقتا پارت بذارم هرکسی خواست میتونه همراهی کنه
Stager
دوره استاژری، استاجری، استیجری یا هرچی که دوست دارین اسمشو بذارین. کاراموزی پزشکیها اینجا شروع میشه😁
الان که دارم این مطلبو مینویسم، ۶ ماه از شروع استاژریم گذشته و هنوز تمومش نکردم، پس طبیعتا خیلی چیزا رو نمیدونم.
این دوره خیلی چیزهاش میتونه تو دانشگاههای مختلف متفاوت باشه، مواردی که اینجا میگم یه سری چیزهای کلی و در واقع اون چیزی هست که همهجا باید اجرا بشه و همینطور اتفاقاتی که مختص کاراموزی خودم هست رو هم میگم. بقیه دوستانی که استاژر هستن یا تموم کردن هم بیان از تجربههاشون بگن چون واقعا تفاوتهای بسیار زیادی وجود داره.
اول اینکه درسهای تئوری و کلاسهای تئوری غیر از کاراموزی و مشابه دوره فیزیوپات خواهید داشت. برنامه این کلاسها از کاراموزیها جداست و امتحانش هم جداست. امتحان کاراموزی هر بخش در انتهای بخش گرفته میشه و کاااملا بستگی به استاد داره که به چه شکلی باشه. مثلا بخشهایی که من تاحالا رفتم، برای جراحی امتحان تستی گرفتن، برای ارتوپدی تشریحی بوده، برای روان پزشکی شفاهی و کاغذی تستی باهم بوده، برای یه بخش دیگه اصلا استاد امتحان نگرفت😂 بقیه دوستام تو بخش داخلی که بودن، ازشون آسکی گرفتن و ... میخوام بگم یه چیز ثابت و واحد نیست.
نمرهی پاسی برای کاراموزی هر بخش فکر میکنم ۱۴ باشه ولی مطمئن نیستم...برای درسهای تئوری که دارین، پاسی همون دوازدهه
نمره دهی تو هر بخش براساس فعالیت داخل بخش و نمرهی امتحان پایان بخشه (این قانون کلی هست ولی دیگه اینکه هر استاد چیکار کنه رو گفتم دیگه، متفاوته)
تو استاژری، ورودی شما گروهبندی میشه، و در قالب گروههای جدا، هرکدوم بخش خودتون رو میرین و در طول سال بین بخشها جابهجا میشین. نحوه گروهبندی هم من نمیدونم قانون همهجاییش چیه ولی برای ما سپردن به خودمون که گروهبندی کنیم. ما هم خوبارو برداشتیم برا خودمون🙄🙄😂البته که با انتخاب خودشون اومدن😅
حالا میرسیم به اینکه استاژر تو بخش چیکار میکنه
دانشجوی استاژر، صبح ساعت ۷ونیم باید تو بخش حضور داشته باشه، اگه بیمار جدید داریم، شرح حال بگیره و معاینه کنه، آزمایشات و عکس برداریهای این بیمار جدید رو ببینه و همهی اطلاعاتی که بدست آورده رو داخل برگهی شرح حال بنویسه، تشخیص افتراقیها و تشخیص نهاییش رو هم بنویسه، امضا کنه و بذاره داخل پرونده(میتونین از رو شرح حال پرستار یا چیزایی که پزشک از قبل نوشته هم تقلب کنین🫣🫣😂) بعد بره سراغ بیمار بعدی و همه این مراحلو براش انجام بده
بیمارهای جدید که تموم شدن، حالا باید بره به بیمارهای قبلی که روزهای قبل ازشون شرح حال گرفته سر بزنه. باید دوباره یه شرح حال خلاصهتر و معاینه انجام بده و ببینه بیمار نسبت به روز قبل چه تغییراتی داشته. همهی این تغییرات رو داخل برگهی سیر بیماری بنویسه، آزمایشها و عکسبرداری های جدید بیمار رو ببینه و اگه اونجا هم نکتهای هست، بنویسه و در نهایت باتوجه به تغییراتی که رخ داده یا نداده، یک پلن درمانی برای بیمار بنویسه(معمولا پزشکها مینویسن RPO ولی از دانشجو انتطار میره که حتما دونه به دونه داروها و اقدامات درمانی رو با دوز و نحوه مصرف و ... بنویسه🤦🏻♂️😂) این برگهی سیر رو هم که نوشتین، تاریخ و ساعت و امضا میزنین و میذارین داخل پرونده. تا وقتی بیمار داخل بخش حضور داره باید براش هر روز سیر پر کنین. حتی اگه رفت icu باید برین پیداش کنین سیرشو بذارین😂😂یه وقت فکر نکنین چون تو بخش نیست پس مرخص شده، شاید رفته باشه سونو، رادیوگرافی، مرخصی موقت یا icu.
بعد از این استاد وارد بخش میشه و میاد که بیمارهاشو ویزیت و برای ما راند آموزشی برگزار کنه. ما هم مثل جوجه اردکها که دنبال مامانشون راه میرن، هرجا استاد رفت دنبالش میکنیم. میریم بالاسر بیمار، هرکس از گروهمون شرح حال گرفته، شرح حالشو(ترجیحا از حفظ) برای استاد میگه، استاد هم چندتا سوال میپرسه، اشتباهات رو تذکر میده و درستش رو میگه، چندتا نکته آموزشی میگه و توضیحاتشو ارائه میکنه. بعد میریم بیمار بعدی و دوباره همین مراحل تا وقتی همهی بیمارها تموم بشن. هیچ بیماری نباید بدون شرح حال باشه و وقتی استاد میپرسه این بیمار کیه، ساکت نمونین🤦🏻♂️🤦🏻♂️
بعد از این مرحله حالا بسته به بخشی که هستین، ممکنه با استاد برین درمانگاه، برین اتاق عمل، کلاس آموزشی یا هرجایی که استاد بگه
عصرها هم کشیک دارین. کشیکهاتون رو تقسیم میکنین و هر روزی که نوبتتون باشه، به مدت ۳ ساعت باید برین اورژانس و هرچی بیمار جدید که مربوط به بخش شما هست رو ببینین، شرح حال بگیرین و معاینه و خلاصه هرکاری که صبح واسه بیمارای جدید انجام میدادین رو انجام بدین. به ما گفتن ساعت ۵ تا ۸
این چیزیه که تو یک روز عادی دوره کاراموزی برای دانشجو باید اتفاق بیفته
ولی خب...🙄🙄🫣😂
مورنینگ هم ما داریم. برای بقیه رو نمیدونم...ولی ما چون رزیدنت و اینترن نداریم، دیگه از همین استاژری باید مورنینگ بدیم😂😂😅 مورنینگمون هم هر روزه نیست، یه روزهای خاصی از هفته هست که هر هفته هم برگزار میشه. یه بیمار رو استاد برامون مشخص میکنه تا توی مورنینگ ارائه بدیم. محتوای مورنینگ هم دقیقا همون محتوایی هست که داخل برگه شرح حال نوشتین و گذاشتین داخل پرونده. یعنی میشه شرح حال بیمار، معاینه بیمار، تشخیص افتراقیها، آزمایشات و عکسبرداریها، تشخیص نهایی. حالا تفاوت های ریز هم ممکنه وجود داشته باشه مثلا بعضی اساتید ممکنه اقداماتی که برای بیمار داخل بیمارستان انجام شده رو هم بخوان، مثلا اینکه وقتی بیمار اومده بیمارستان، چه داروهایی گرفته، داروها اثر داشته یا نه، عوارض داشته یا نه، عکسبرداریهاش تغییر کرده یا نه، خلاصه ممکنه محتوای برگههای سیر بیماری که نوشتین رو هم بخوان یا حتی پلن درمانی...حالا تشخیص نهایی رو دادی، خب چیکارش کنیم، چجوری درمان کنیم.
حالا واسه استاژری شما شاید مورنینگ نباشه ولی تو اینترنی به احتمال بالای ۹۰ درصد دیگه حتما دارین😂😂
ژورنال کلاب هم ممکنه داشته باشین...البته من هنوز ژورنال کلاب ارائه نکردم و داخل جلساتش هم نبودم، هروقت رفتم اونو هم توضیح میدم.
این اتفاقات کلی بود که باید همهجا به این شیوه برگزار شه
ولی خب بوده که تو یه بخشی ما استاد رو بزور میدیدیم، برا همین تقریبا ول بودیم و خودمون سعی میکردیم هرچی میتونیم با چیزایی که میخونیم و میبینیم یادبگیریم...بخشی هم بودیم که اساتیدش بهمون امون نمیدادن، و انقدر تحت فشار بودیم که اگه یکم دیگه ادامه پیدا میکرده، دچار فروپاشی میشدیم😂😂بخشی هم بودیم که نه کلا ول بودیم و نه اونقدر سخت گرفته شده، استاد میومده و کارشو میکرده، برا ما هم توضیح میداده و همه چی گل و بلبل😁 بخشی هم بودیم که اصلا بخش نبودیم🤦🏻♂️ فقط درمانگاه رفتیم براش😂 بخشی هم داشتیم که فقط اتاق عمل بودیم و ... اون برنامهی اصلی کاملا رعایت نمیشه هیچوقت
فقط گفتم که ذهنیت داشته باشین
داشتن روپوش سفید و اتیکت برای حضور در بیمارستان الزامیه، این دیگه مشخصه، برای اتاق عمل هم که باید اسکراب داشته باشین(البته اگهههه اتاق عمل راهتون بدن، ما که ورودیهای اول دانشگاهیم و هیچ دانشجو پزشکی دیگه نداریم، راحت رفتیم، با استاد هم دست شستیم😂😂 واقعا اگه من نبودم کی میخواست به جراح کمک کنه...😔😔🤦🏻♂️😂)
توی هر بخش یه سری کارهای عملی متناسب با اون بخشو هم باید بهتون یاد بدن، مثلا تو اورولوژی باید بهتون یاد بدن چطوری سوند بذارین (خییلی راحته😂)، مثلا تو بخش جراحی باید بهتون یاد بدن چطوری چست تیوب بذارین، مثلا تو بخش ارتوپدی باید بهتون یاد بدن چطوری گچ بگیرین و خیلی چیزها متناسب با هر بخش
البته که به ما در این زمینه هیچی یاد ندادن🤦🏻♂️🤦🏻♂️شما ولی پیگیرش باشین...داخل کوریکولوم فکر کنم همهش رو نوشته
آها اینم یادم شد بگم، قبل از ورود به استاژری باید تیتر آنتی بادیتون برای هپاتیت هم بالا باشه...آزمایش میدین، اگه بالا بود که چه بهتر، وگرنه باید واکسن بزنین...حدودا چندماه قبل اینکه وارد بیمارستان شین
البته جای ما سخت نگرفتن، بعضیامون یکم دیرتر اقدام کردن، ولی خب این برای خودتون و سلامتی خودتون مهمه که باید جدی بگیرین.
هر بخشی که میرین خیییییییلی باید درس خوند. برای فیزیوپات گفتم که باید زیاد درس خوند، اینجا همچنان اون زیاد خوندن رو باید ادامه داد. شما تو دوره کاراموزی اگه تشخیص و درمان رو یادگرفتین که چه بهتر، وگرنه تموم میشه، اینترن میشین، و باید تو بخش تنهایی بیمارها رو منیج کنین😁 دیگه نه استادی هست که کمکتون نه هیچی (البته استاد هست ولی انتظارش اینه که بلد باشین و موارد خیییلی سخت و پیچیده رو نهایتا بپرسین)
آها یه مورد دیگه که نزدیک بود یادم بره. باید تا قبل از آزمون پرهانترنی، حتما عنوان پایاننامهتون رو ثبت کنین. از زمان ثبت عنوان تا دفاع پایاننامه هم حتما باید حداقل یک سال بگذره و زودتر نمیشه دفاع کرد
حالا شما میتونین تو دو سال استاژری هر زمانی عنوانتون رو ثبت کنین
کاری که من دارم انجام میدم اینه که، عنوان رو اوکی کردم، کارای دیگهش رو هم انجام میدم و سال بعد همین حدودای زمستون میرم برای دفاع. بعد هم بدون هیچ نگرانی از پایاننامه، میشینم واسه پره میخونم، و تو اینترنی هم باز بدون نگرانی واسه پایاننامه، میشینم واسه رزیدنتی میخونم.
بعضیام هستن که عنوانشونو ثبت میکنن، بعد برای پره میخونن و تو اینترنی میرن سراغ پایاننامه. بعضیام که کارای دیگه میکنن. دیگه اینو خودتون ببینین چجوری دوست دارین.
مورد دیگه که دوست دارم دربارش بگم، اینه که تو بخشها ارتباط با همکاراتون خیلی مهمه. تا جای ممکن بیحاشیه پیش رفتن و ارتباط خوب با اینترن یا رزیدنت بالادست، با پرستارها، با خدمات بخش، همه و همه کمکتون میکنه و خب درگیری باهاشون هم مسلما به آموزش شما لطمه خواهد زد. غیر از شرح حال و معاینه و تشخیص و درمان بیماران، یک مورد خیلی مهم دیگه که تو کاراموزی باید یادگرفت، همین ارتباط با افراد دیگهای هست که تو روند بهبودی بیمار شما نقش دارن. البته که سیستم آموزشی ما واسه این مورد هیچ برنامهی درستی نداره و باید دِیمی خودتون یادبگیرین😂😂
همچنان پیشنهاد میکنم المپیاد استدلال بالینی رو شرکت کنین و خوندنتون برای اون باشه...توضیحات بیشترشو تو تاپیک دوره فیزیوپاتولوژی گفتم
آخر استاژری هم آزمون پره انترنی داریم که با قبولی تو اون آزمون، مجوز ورود به اینترنی رو بدست خواهیم آورد. هنوز آزمونش رو ندادم، پس هروقت رسیدم بهش توضیحاتش رو خواهم داد.
و نکته آخر هم اینکه از معاینه کردن، نترسین، نترسین، نترسین(اینو به خودم هم میگم). هرجایی که لازمه رو ببینین، هرجایی که لازمه رو دست بزنین، اصلا هم به این فکر نکنین که بیمار درد داره یا ممکنه همکاری نکنه یا جای حساسیه، یا بیمار خانم یا آقاست که اگه معاینه نکنین و معاینه رو یادنگیرین، ظلم بزرگی به یادگیری خودتونه و ظلم بزرگتری هم به بیمارهای آیندهی شماست.
فعلا دیگه چیزی به ذهنم نمیرسه
@دانشجویان-پزشکی
سلام و درود😁
این تاپیک همونطور که از عنوانش معلومه، دربارهی دورهی فیزیوپاتولوژی دانشجوهای پزشکیه
فیزیوپات بسته به دانشگاهی که هستین، به دو شکل ممکنه برگزار بشه
یک حالت اینه که به صورت ترمی باشه.
یا هم ممکنه که براتون به صورت کورسی برگزار بشه (ایشالا که این حالت باشه)
تو حالت اول، دقیقا شرایط مثل علوم پایهس. برنامه کلاسیتون رو میگیرین و هر روز میرین سر کلاساتون و درسهای مختلف رو باهم میگذرونین و در پایان ترم هم همه رو باهم امتحان میدین. این چیزیه که من تجربه کردم
تو حالت دوم، یه نفر که کورسی بوده باید بیاد توضیح بده😂😂😅
ولی به طور کلی چیزی که من میدونم ازش اینه که شما درسها رو به صورت کورسهای جدا از هم میگذرونین. یعنی مثلا یک ماه کورس قلب دارین. و تو این یک ماه فقط قلب میخونین، فقط کلاسهای مربوط بیماریهای قلب رو شرکت میکنین و در انتهای ماه هم امتحان قلبتونو میدین تموم میشه میره. و ماه بعد باز کورس بعدی
ازین که بگذریم، به هر روش و مدلی که فیزیوپاتتون برگزار بشه، اینو بدونین که شروع سفت درس خوندن دانشجوی پزشکی این دورهست
اگه تا الان رنک یک کلاس و علومپایه بودین، یا اینکه همه درساتونو رو مرز پاس کردین و تا تونستین پیچوندین، همه رو بریزید دور
اینجا اون پایهی دانش پزشکی شما قراره ساخته بشه و هرررر درسی که میخونین، کاملا تو بالین و بیمارستان کاربرد داره و استفاده میشه. ته ته تهش حتی اگه یه موضوعی خیلی نادر هم باشه، بازم استاد یجوری سرش گیرتون میندازه...اصلا هم مهم نیست مربوط به تخصصش هست یا نه😂😂...اصلا هم مهم نیست کجا و چند نفر دارن گیر افتادنتونو میبینن...پس برای حفظ آبروتون، و از اون مهمتر برای خودتون و بیمار هایی که قراره بیان زیر دست شما، این دوره رو خییییلی درس بخونین🙏🏻🙏🏻🙏🏻
اگه خوب نخونین چی میشه؟ خب استاژری فشار خواهد آمد و مجبور میشین تو تایم کمتر و فشردهتر بخونین. اگه حتی تو استاژری هم نخونین و سمبل کنین، احتمالا تو اینترنی به رحمت خدا میرین😂😂هنوز اینترن نشدم، ولی بهترین حدسم همینه😁
از اهمیت فیزیوپات هرچی بگم، کم گفتم...پس بحثشو همینجا میبندم دیگه
اما در مورد درسها، همهشون که خیلی مهمان، ولی چندتا رو دوست دارم که یکم دربارشون صحبت کنم
اولین درسی که میخوام بگم، (شرح حال و معاینه فیزیکی) هست. هرچند با پیشرفت ابزارهای تشخیصی و هوش مصنوعی، خیلی تشخیصها راحت شده ولی از اونجایی که تو کشور ما هنوز پروندهها کاغذیه، قویا پیشنهاد میکنم این درسو جدی بگیرین
دستگاههای بیمارستانها معمولا یا خرابه، یا خوب کار نمیکنه، یا یه چیزیش کجه🤦🏻♂️🤦🏻♂️یا هم کسی که مسئول استفاده از اون دستگاههاست درست باهاشون کار نمیکنه. اشتباهها و سوتیها تو پاراکلینیک و آزمایشگاه و پاتولوژی اصلا اصلا کم نیستن
و همه اینا رو به شرطی میشه خنثی کرد که شمای پزشک بتونین یک شرح حال خوب و یک معاینهی درست انجام بدین.
من خودم به اندازه موهای سرم ECG دیدم که لیدها رو اشتباه بستن و در نتیجه تو برگهی نوار موجهای عجیب غریب تشکیل شده...حتی با چشمای خودم دیدم که اشتباه میبندن. سونوی بیمارستانمونو احدی قبول نداره، برا همین جراحهامون فقط با معاینه بیمار مشکوک به آپاندیسو میبرن اتاق عمل، در صورتی که اگه سونو درست باشه، سونوگرافیست بلد باشه، خییلی برای آپاندیس تشخیصیه. از اشتباه تو آزمایش خون و اشتباه تو گرفتن عکسهای رادیوگرافی هم که چیزی نگم (حالا من هنوز استاژرم و خیییلی کم با این چیزا مواجه شدم، احتمالا اشتباهها و سوتیهای فوق پیشرفتهتری هم هست که تو مراحل بعدی کشف میکنم🤦🏻♂️😂😅)
خلاصه...شرح حال و معاینه اهمیتش بینهایته
درس بعدی که میخوام در موردش بگم، استدلال بالینیه
برای ما نیم واحد بود...برای شما هم احتمالا همینه یا یکم کمتر یا بیشتر...خلاصه واحدش خیلی کمه
اما برخلاف کم بودن واحدش، اهمیتش در مسیر پزشکی شما بسیار بسیار بالاست. اگه اهمیتش از شرح حال و معاینه بیشتر نباشه، مطمئنا کمتر نیست
کل بحثش اینه که شما رفتی بالاسر بیمار، شرح حالتو گرفتی، معاینه کردی، عکسهای سیتی و رادیوگرافی گرفتی، آزمایشهایی که میخواستی هم گرفتی، حالا با این همه اطلاعاتی که داری چجوری به تشخیص برسی. کدوم دادهها اضافی و بدردنخورن و کدوما اهمیت تشخیصی دارن. چه تشخیص افتراقیهایی میتونی داشته باشی و هر کدوم رو با چی رد کنی. همه و همه با استدلال بالینی امکان پذیره. مهارتیه که شما رو به سمت تشخیص و نهایتا درمان هدایت میکنه. درسته که تو کلاسهای دیگه براتون توضیح میدن که فلان بیماری چیه، چطوری تظاهر میکنه، چطوری تشخیص داده میشه و چطوری میشه درمانش کرد، ولی وقتی میری بالاسر بیمار، اونجاست که میبینی به اون راحتی که تو کلاس میگفتن هم نیست
برای همین، من پیشنهاد میکنم که همهتون المپیاد استدلال بالینی رو شرکت کنین و طوری درس بخونین که اونجا رتبه بیارین. المپیاد استدلال بالینی اصلا آسون نیست، سوالات متفاوتی داره و نحوه پاسخ دهی کاملا متفاوتی نسبت به آزمونهایی که تا حالا داشتیم، داره. و فقط یک بار شرکت کردنش هم کافی نیست. شما دفعههای اول میرین آزمون که هیچی نشین😅 و نتیجه رو مثلا سال اول یا دوم اینترنی میگیرین، بعضیا حتی تو رزیدنتی...
چندتا مزایا داره. مهمترینش اینه که پزشک باسواد و خفنی میشین. مورد بعدیش اینه که منجر به نتایج خیلی خوب تو آزمونهای پره و رزیدنتی میشه(دیگه وقتی واسه این آزمون سخت آماده میشین، اون دوتای دیگه براتون ایزیه😬😂) و مورد آخر هم اینکه اگه یکمی هم شانس آوردین رتبه شدین، خب مزایای اونو هم دارین...استریتی و بنیاد ملی نخبگان و استعدادهای درخشان و چی و چی و چی...
و آخرین درسی که میخوام دربارش واسهتون صحبت کنم، درسهای آمار و روش تحقیقه...اگه میخواین پایاننامهتونو خودتون بنویسین و به جایی پول ندین که براتون بنویسن، این دو درس خیلی به کارتون میاد و لازمه
و همینا دیگه...فیزیوپاتتون هم که تموم میشه استاژر میشین. اگه درس افتاده داشته باشین، ورود به استاژری ممکن نیست (مگر با کلی بند و تبصره و تعهد و ...)
نمرهی پاسی تو این دوره، برای درسهای تخصصی ۱۲ هست، و برای بقیهی درسها ۱۰. یعنی عمومیها، درسهای پایه و شناور، همه پاسیشون ۱۰ هست.
مشروطی هم ۱۲ هست (یکم مشروط شدن سخته اینجا😬😂)
اولین کارآموزی بیمارستانتون رو هم اینجا خواهید رفت(اگه دانشگاهتون مثه ما نپیچونه🤦🏻♂️) : کاراموزی شرح حال
@دانشجویان-پزشکی
دیگه چیزی به ذهنم نمیرسه
اگه سوالی دارین، در خدمتتون هستم
خب امروز میخوام واستون درباره دوره علوم پایه صحبت کنم. بیشتر تجربیات خودمه و خب دانشگاه به دانشگاه و حتی تو بعضی دانشگاها، کلاس به کلاس این تجربیات میتونه متفاوت باشه😅 بعضی علومپایهشون ۵ ترمهس، بعضی ۴ ترمه، بعضی ۳ و حتی تعداد نادری هم ۲🙄
شما هم تجربیاتتون که فک میکنین مفیده رو بذارین😊🙏🏻🌱
من فرض رو بر این میذارم که همه میخوان یک پزشک باسواد و متعهد و درستی باشن پس هرچیزی که میگم به این سمت جهتگیری داره
اول یک سری کلیات رو میگم بعد دونه دونه درسهای مختلف رو بررسی میکنیم، و در آخر هم دیگه آپدیت از هرچیزی که یادم بیاد یا شما بخواین به اشتراک بذارین
۱. اینو احتمالا اکثرا تجربه کرده باشین که با شوق و ذوق میاین دانشگاه و تنها چیزی که یاد نمیگیرین پزشکیه😂 همه فامیل و دوست و آشنا دکتر صداتون میکنن ولی دریغ از یک توصیه پزشکی که بتونین انجام بدین😂😅 درسا هم که هیچ محتوای مرتبطی با رشته نداره، ۴تا استاد سختگیر هم که داشته باشین دیگه پک فرسودگی دوره دانشجوییتون تکمیل میشه😂😂😂
این رو من به چشم در همه ورودیهای دانشگاهمون دیدم و میبینم همچنان
یعنی دیگه وقتی میخوای وارد فیزیوپات شی و اصل کاریا شروع شه دیگه جون نداری، حوصله نداری، اون انگیزههای اول قبولیت تموم شده رفته
بنابراین توصیه میکنم هرررر چیزی که میخاستین کنار پزشکی ادامه بدین رو ادامه بدین😂همین دوره دقیقا وقتشه. هر کاری میخواستین شروع کنین، شروع کنین، هر مهارتی میخواستین یاد بگیرین، برین دنبالش، تو همهی سوراخ سمبههای دانشگاه سرک بکشین، نمیدونم صنفی برین، نشریه برین، EDC برین، تحقیقات برین، دفترمنتورینگ اگه دارین برین، همهی انجمنها و کانونها رو بگردین ببینین چجوریاس، هر فیلم و سریالی که دوست دارین ببینین، دریغ نکنین از خودتون، هر عشق و حالی از دوره دانشگاه تو ذهنتون بوده برین انجام بدین و خلاصه تا میتونین حال خودتونو خوب و انرژیتونو بالا نگه دارین.
حالا اینارو که میگم، خودم هم انجام میدادم که میگم😅😅نگین میخواد ما رو منحرف کنه🤦🏻♂️ منم کلی دوره برنامه نویسی دیدم و کار کردم، رو طراحی سایت که دوست داشتم کار کردم، یه مدت سئو میخوندم، حتی با دوستام یه طرح کارآفرینی رو واسه المپیاد کارآفرینی انجام دادیم(هیچی نشدیم😂😅 ولی تجربه گروهی خوبی بود)، بیرون رفتنو گشتن هم که همیشه داشتیم (البته دراماهایی هم داشت که خداروشکر من درگیر هیچکدوم نشدم🤲🏻) و خیلی چیزهای دیگه...
۲. مورد اول خیلی طولانی شد👀 حالا همه اینا رو گفتم ولی اصلا معنیش این نیست که دیگه درسو بذاریم کنار و صرفا برای پاسی بخونیم، منم این کارو نکردم. برای درسا تو پستهای بعدی دونه دونه توضیح میدم
۳. حتما حتما حتما با دانشجوهای ترمهای بالاترتون در ارتباط باشین...خیلی شرایط، امکانات و ... وجود داره تو دانشگاه که دانشجو نمیدونه وجود دارن و در نتیجه استفاده نمیشه.
اینجا خب اونهایی که باتجربهترن و بیشتر بودن میتونن راهنمایی کنن. از لحاظ درسی و استادها هم که از واجباته و خودتون خود به خود مجبور میشین ارتباطه رو بگیرین😂😅
یه مثال بخوام بگم مثلا تو دانشگاه ما یه اتاقی بود روش نوشته بود استودیو تولید محتوا، اتاق فیلمبرداری و پادکست و تدوین و گریم و اینا داره. بعد من اوایل فکر میکردم اینو فقط دانشگاه استفاده میکنه و هیچ دانشجویی نمیتونه بره داخلش. بعد که رفتم تو یه سری کارهای فیلمبرداری و تولید محتوا، مجوز ورود همیشگی براش گرفتم😂😂هروقت میخواستم میرفتم کارمو میکردم و هنوز هم هروقت لازم بشه دیگه مسئولشو میشناسم، میتونم هماهنگ کنم و استفاده کنم
۴. نگران آزمون علوم پایه نباشین😊 نمره منفی که نداره...به نسبت آسون هم هست...و توضیحات بیشتر هم که تو تاپیک علوم پایهس
۵. کتاب رفرنس نخرین...پولاتونو نگه دارین برای فیزیوپات(میدونم که آخرش همتون میرین همهی رفرنسا رو میخرین😔😔) به ما هم همهی اساتید میگفتن برین کتاب بخرین بخونین ولی خب ما با جزوه و کتابهای خلاصه و ... خوندیم و جمع کردیم (البته اینم باز خیلی به استاد بستگی داره. از ترم بالاهاتون مشورت بگیرین و نهایتا کتابشو از کتابخونه بگیرین، نخرینننن😬😬)
۶. سعی کنین سال اول عاشق نشین🫠(اینم میدونم گفتنش هیییچ فایدهای نداره🤦🏻♂️🤦🏻♂️😂 همتون میرین تو چاه میفتین...هییییی)
۷. "بچههااااا...ما قراره ۷ سااال باهم باشیم" این جمله رو از ادبیاتتون حذف کنین🤦🏻♂️اصلنم قرار نیست ۷سال باهم باشین. چندتا دوست خوب پیدا کنین(حتی اگه فکر میکنین هیچکی خوب نیست، بازم چند نفر قابل تحملتر از بقیه پیدا کنین) و از استاژری به بعد کلا از بقیه جلبکهای کلاس جدا میشین👌البته ما خودمون گروههامونو چیدیم نمیدونم بقیه دانشگاهها چجوری میچینن👀 گروهها رو هم گفتن هم پسر باید داشته باشه هم دختر...پس اگه دست خودتون بود، از هر دو جنس مقدمات رفاقت رو پایه ریزی کردن خوبه😁 این که میگم اهمیتش بینهایته...حالا میاین استاژر میشین خواهید دید چه میشود
۸. دیگه فعلا چیزی به ذهنم نمیرسه
درسها رو شروع میکنم
@دانشجویان-پزشکی
سلام شبتون بخیر
چطورین رفقا؟!
میخام یه چالش بزارم، نمیدونم قبلا همچین تاپیکی بوده یا نه ولی خب من ایجاد کردم دیگه..!😁
رفقا بیاین یه متن بنویسیم و هر جملش با این کلمه شروع بشه: "چقده خوبه که.."
و داشته هامونو بگیم و خدامونو واسه اینکه تو زندگیمون داریمشون شکر کنیم..!✨❤
مثلا متن خودم:
چقد خوبه که میتونم واسه هدفام تلاش کنم...
چقد خوبه که وسط ناامیدی زیاد، بازم امید دارم...
چقد خوبه که عضو انجمن آلا هستم و کلی رفیق دارم...
چقد خوبه که انسانیت درونمو حس میکنم..
چقد خوبه که پیتزا و شیرکاکائو با تی تاپ درمون دردامه...
چقد خوبه که قیمه اختراع شده...
چقد خوبه که میتونم برم بیرون و خونوادم و رفیقامو بغل کنم...
چقد خوبه که سالمم...
چقد خوبه که خونوادم کنارمن...
چقد خوبه که میتونم خودمو کارامو انجام بدم...
چقد خوبه که داداشم هوامو دارم...
چقد خوبه که ...
چقد خوبه که بدنیا اومدم...!
:))))
خدا برای همه ی "چقد خوبه ها که" شکرت..!
بیاین یبار هم که شده بجای نداشته هامون، داشته هامونو بگیم..!
پ.ن: تاپیک رو زدم بخش مشاوره ای، چون فکر میکنم واسه روحیه مون خیلی خوب باشه..!
@دانش-آموزان-آلاء @راه-ابریشم-پرو-زیست @تجربی @دوازدهم @ریاضی-فیزیک @انسانیا @فارغ-التحصیلان-آلاء @دانش-آموزان-نظام-جدید-آلا @راه-ابریشم-پرو-شیمی @راه-ابریشم-پرو-ریاضیات-ریاضی @راه-ابریشم-پرو-فیزیک-کازرانیان @راه-ابریشم-پرو-ریاضی-تجربی
اشتباه می کنم؟
ریاضی تجربی
4
دیدگاهها
2
کاربران
77
بازدیدها
2
Watching
-
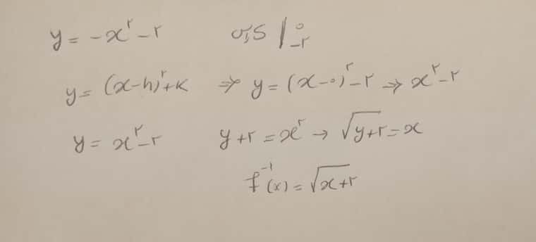
پیشاپیش اگه سوالاتم زیادی ابتداییه معذرت می خوام ،توی ریاضی ضعیفم:)

الان اینا جفتشون درستن؟
یا جایی رو اشتباه کردم ؟
بچه-های-تجربی-کنکور-1403
دوازدهم -
پیشاپیش اگه سوالاتم زیادی ابتداییه معذرت می خوام ،توی ریاضی ضعیفم:)

الان اینا جفتشون درستن؟
یا جایی رو اشتباه کردم ؟
بچه-های-تجربی-کنکور-1403
دوازدهمپرستو بابایی من ک غلطی نمیبنم ..فقط روش ها متفاوت هست
-
پرستو بابایی من ک غلطی نمیبنم ..فقط روش ها متفاوت هست
@Zahra-Kazemi402
درسته خیلی ممنونم 🌱
در نهایت از اون منفی داخل یعنی می تونیم فاکتور بگیریم ؟چون زیر رادیکال منفی نباید بشه -
@Zahra-Kazemi402
درسته خیلی ممنونم 🌱
در نهایت از اون منفی داخل یعنی می تونیم فاکتور بگیریم ؟چون زیر رادیکال منفی نباید بشهپرستو بابایی آره میتونیم



