گزینه 4 میشه
Hasan Taghi zadeh
دیدگاهها
-
حد تابع در صفر منفی و مثبت -
حد تابعParimah Aghajani خب کجاشو مشکل دارید
-
معادله ها ی مثلثاتی -
معادله ها ی مثلثاتیSEPEHR ALIZADEH نمیدونم والا قرار بود سوال بذاره :|
-
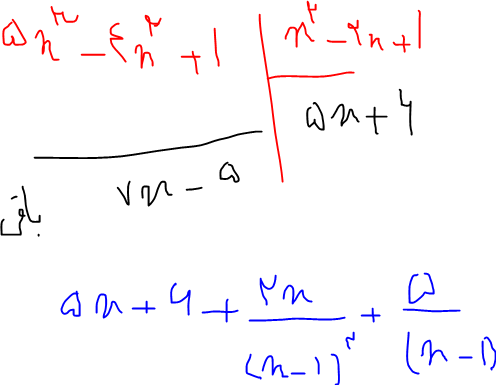
حد تابعParimah Aghajani میتونید تو مخرج 6 رو فاکتور بگیرید و از اتحاد چاق و لاغر استفاده کنید ک یمقدار طولانی میشه
هوپیتال بهترینه چه مشکلی باهاش دارید -
معادله ها ی مثلثاتی
-
حد تابعهوپیتال
-
اکیدا نزولیببینید ریشه های داخل قدر 2- و 1 هستن
ب ازای x های کوچیکتر از 2- میشه نزولی -
واریانسParimah Aghajani شما واسه رسیدن به ضریب تغییرات به میانگین و انحراف از معیار نیاز داری
اگر این 2تا نبودن یا قابل محاسبه نبود میشد 4 -
واریانسباید ضریب تغییرات رو حساب کنید
اونی که کمتر باشه دقتش بیشتره و بهتره -
دایره مثلثاتی:)maah ap اون 180 واسه درجه استفاده میشه و عدد حقیقی نیست
ولی پی یه عدد حقیقیه
فکر کنم اینه جوابتون -
طول نقطهParimah Aghajani بله اون سوال مورده ب ایراد داره
فقط مورد الفش همسایگی محذوف بود -
دایره مثلثاتی:)99 احسنت منم همینطور حل کردم
کمانه قرمزو ک نگاه کردم شد 2
کمانه مشکی شد 1
ولی خب 2 قابل قبول تر از 1 هس

-
دایره مثلثاتی:)نه فکر کنم گزینه 2 میشه
-
دایره مثلثاتی:)maah ap بنظرم هم 1 میشه هم 2 :| یجوریه
-
سوال 32 شیمی 98 ریاضیFateme Sohrabi چپ به راست
شما 3 تا سیبو از 4 تا کم میکنی یا 4تا سیبو از 3 تا؟ -
سوال 32 شیمی 98 ریاضیFateme Sohrabi در سوال 32 شیمی 98 ریاضی گفته است:
Hasan Taghi zadeh کاتد از اند کم میشه جای بحث نداره ک سوال ب این سادگی زشته اینقد کش پیدا کرده😑
واقعا چرا نمیخواید قبول کنید که آند از کاتد کم میشه؟
-
سوال 32 شیمی 98 ریاضی@ftm-dh ما نگفتیم آند منهای کاتد
ما گفتیم آند رو از کاتد کم میکنیم
ینی آند-کاتد -
سوال 32 شیمی 98 ریاضی@ftm-dh بله کاتد منهای آنده
ولی وقتی میخواید بگیدش باید اینطوری بگید
آند رو از کاتد کم میکنیم -
سوال 32 شیمی 98 ریاضیFateme Sohrabi خیر
آند رو از کاتد کم میکنیم
اگر بهتون سوال بدن درست انجام میدید
ولی الان جمله بندی ریاضیشو قاطی کردید
