شیمی دهم فصل ۱
-
Paniyaapaniya
دوستمون جوابت و دادن🌸🌸@sara-haghighatrad مجموع ذرات باردار عنصر X برابر با ۷۴ و مجموع کل ذرات زیراتمی ان برابر با ۱۱۹ می باشد . تعداد الکترون پروتون نوترون عنصر X را مشخص کرده و عدد اتمی و عدد جرمی ان را نیز مشخص کنید
اگ بلدی جواب بده ممنون و اینکه من پایه دهم هستم . به نظرت این سوالات در چه سطحی هستن ؟
-
سارا M 0 عدد جرمی یون X مثبت (+X) برابر با ۲۰۰ و تعداد نوترون های ان ۱/۵ برابر تعداد پروتون هاست تعداد الکترون های ان را حساب کنید .
این سوالو میشه حل کنی ؟ و اینکه میدونی این سوالات در چه سطحی هستند ؟ من پایع دهمم و تازع شرو کردم
Paniyaapaniya
سطح سوالاتی ک پرسیدی ساده بود، این سوال هم با کمی دقت و جایگذاری میشه حل کرد.... چون تازه شروع به یادگیری این مبحث کردی باید خیلی مثال حل کنی تا دستت راه بیفته و کاملا طبیعیه ک بعضی سوالات رو نتونی حل کنی... یا نیاز به فکر کردنِ زیادی داشته باشی.
کلا اوایل تا سوال رو پردازش کنی طول میکشه ، باید تمرین کنی تا رابطه های این مبحث ملکه ذهنت بشه ک البته چنتا رابطه آسون هم بیشتر نیستند:)) بعدش خیلی راحت میشن این سوالات برات.
جوابِ سوالت:

-
Paniyaapaniya
سطح سوالاتی ک پرسیدی ساده بود، این سوال هم با کمی دقت و جایگذاری میشه حل کرد.... چون تازه شروع به یادگیری این مبحث کردی باید خیلی مثال حل کنی تا دستت راه بیفته و کاملا طبیعیه ک بعضی سوالات رو نتونی حل کنی... یا نیاز به فکر کردنِ زیادی داشته باشی.
کلا اوایل تا سوال رو پردازش کنی طول میکشه ، باید تمرین کنی تا رابطه های این مبحث ملکه ذهنت بشه ک البته چنتا رابطه آسون هم بیشتر نیستند:)) بعدش خیلی راحت میشن این سوالات برات.
جوابِ سوالت:

سارا M 0 میشه تایپی توضیحش بدی 🥺
-
سارا M 0 میشه تایپی توضیحش بدی 🥺
Paniyaapaniya
آره چرا که نه
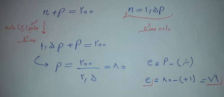
ببین همیشه وقتی داری ی مسئله رو میخونی داده هایی ک بهت میده رو یادداشت کن، الان گفته تعداد نوترون ۱/۵ برابر تعداد پروتون هاست ، پس تو یادداشت میکنی:
n=1/5p
بعد عدد جرمی رو به تو داده: n+p=200
الان کافیه داده ای که برای تعداد نوترون بهت داده رو جایگذاری کنی: یعنی جای نوترون بنویسی:
۱/۵p+p=200
اینجا وقتی حلش کنی تعداد پروتون ها ۸۰ بدست میاد.
خب حالا تعداد الکترون که علامت سواله مسئله هست رو چطور بدست میاری؟
ی رابطه ای هست ک باید بلدش باشی اینکه الکترون های یک یون اینجوری بدست میاد:(بار)_e=p
الان تعداد پروتون ها که ۸۰ تا بدست اوردیم رو توی رابطه بالا جایگذاری میکنیم: (1)_e=80که میشه: e=79✅ -
Paniyaapaniya
آره چرا که نه
ببین همیشه وقتی داری ی مسئله رو میخونی داده هایی ک بهت میده رو یادداشت کن، الان گفته تعداد نوترون ۱/۵ برابر تعداد پروتون هاست ، پس تو یادداشت میکنی:
n=1/5p
بعد عدد جرمی رو به تو داده: n+p=200
الان کافیه داده ای که برای تعداد نوترون بهت داده رو جایگذاری کنی: یعنی جای نوترون بنویسی:
۱/۵p+p=200
اینجا وقتی حلش کنی تعداد پروتون ها ۸۰ بدست میاد.
خب حالا تعداد الکترون که علامت سواله مسئله هست رو چطور بدست میاری؟
ی رابطه ای هست ک باید بلدش باشی اینکه الکترون های یک یون اینجوری بدست میاد:(بار)_e=p
الان تعداد پروتون ها که ۸۰ تا بدست اوردیم رو توی رابطه بالا جایگذاری میکنیم: (1)_e=80که میشه: e=79✅سارا M 0 چجوری ۸۰ به دست اومد ؟
تو پیج ی سوال جدید گذاشتم عکسه اگ میشع سوال ۲ ، ۴ رو برام حل کن .. ببخشید بهت زحمت میدم ولی واقعا نیازمه ... تشکر -
سارا M 0 چجوری ۸۰ به دست اومد ؟
تو پیج ی سوال جدید گذاشتم عکسه اگ میشع سوال ۲ ، ۴ رو برام حل کن .. ببخشید بهت زحمت میدم ولی واقعا نیازمه ... تشکرPaniyaapaniya
1/5p+p میشه ۲/۵ پروتون
بعد برای برست اوردن پروتون معلوم بر مجهول ک کنی میشه 200 تقسیم بر 2/5 ک میشه 80. -
سارا M 0 چجوری ۸۰ به دست اومد ؟
تو پیج ی سوال جدید گذاشتم عکسه اگ میشع سوال ۲ ، ۴ رو برام حل کن .. ببخشید بهت زحمت میدم ولی واقعا نیازمه ... تشکرPaniyaapaniya
عکسی ک توی پیجت گذاشتی رو همینجا آپلود کن.
ی نوار بالای صفحه ای که میخوای تایپ کنی هست اون رو به سمت راست میکشی بعد از جایی ک علامت زدم عکست رو از فایلا انتخاب میکنی و بعد آپلود میکنی.

-
Paniyaapaniya
عکسی ک توی پیجت گذاشتی رو همینجا آپلود کن.
ی نوار بالای صفحه ای که میخوای تایپ کنی هست اون رو به سمت راست میکشی بعد از جایی ک علامت زدم عکست رو از فایلا انتخاب میکنی و بعد آپلود میکنی.

سارا M 0

این برات میاد؟سوال۲و۴ -
Paniyaapaniya
برای سوال ۴: من داده ها رو یادداشت کردم، یعنی: A=2/3Z
بعد عدد اتمی همون تعداد پروتون هاست و با توجه به اینکه یون ما ۲ بار مثبت هست یعنی پروتون ها دوتا از الکترون ها بیشترن، که چون الکترون ها ۲۴ تاست پس پروتون ها ۲۶ تاست.
تا اینجا عدد اتمی بدست اومد.
برای بدست اوردن عدد جرمی باید ۲۶ رو توی داده ای ک برای عدد جرمی بهمون داده جایگذاری کنیم، یعنی جای Z ۲۶ جایگذاری کنیم که عدد جرمی میشه ۵۹/۸!!! که خیلی عجیبه آخه نباید اعشاری بدست میاد:|||
به نظرم ی جای سوال اشتباست ، گفته ۲/۳ برابر یعنی کلا جواب اعشاری بدست میاد (جز حالتی ک پروتون ها ۲۰ و..باشه)در حالی ک نباید اعشاری باشه چون چنین حالتی نداریم. یا شایدم من دارم اشتباه میکنم
. چند بارم صورت سوال رو خوندم...اشتباهم کجاست نمیدونم! :// -
Paniyaapaniya
برای سوال ۴: من داده ها رو یادداشت کردم، یعنی: A=2/3Z
بعد عدد اتمی همون تعداد پروتون هاست و با توجه به اینکه یون ما ۲ بار مثبت هست یعنی پروتون ها دوتا از الکترون ها بیشترن، که چون الکترون ها ۲۴ تاست پس پروتون ها ۲۶ تاست.
تا اینجا عدد اتمی بدست اومد.
برای بدست اوردن عدد جرمی باید ۲۶ رو توی داده ای ک برای عدد جرمی بهمون داده جایگذاری کنیم، یعنی جای Z ۲۶ جایگذاری کنیم که عدد جرمی میشه ۵۹/۸!!! که خیلی عجیبه آخه نباید اعشاری بدست میاد:|||
به نظرم ی جای سوال اشتباست ، گفته ۲/۳ برابر یعنی کلا جواب اعشاری بدست میاد (جز حالتی ک پروتون ها ۲۰ و..باشه)در حالی ک نباید اعشاری باشه چون چنین حالتی نداریم. یا شایدم من دارم اشتباه میکنم
. چند بارم صورت سوال رو خوندم...اشتباهم کجاست نمیدونم! ://سارا M 0 سوال ۲ چی ؟
-
Paniyaapaniya
دوستمون جوابت و دادن🌸🌸@sara-haghighatrad بلدی؟
-
سارا M 0 سوال ۲ چی ؟
Paniyaapaniya
سوال ۲ تعداد نوترون رو تونستم بدست بیارم که ۴۵ شد.
تعداد الکترون و پروتون رو به جواب نرسیدم:/
.
.
.
اگه جواب ۲ و ۴ رو پیدا کردی بفرست ببینم کجا اشتباه کردم...۴ ک عدد جرمی اعشاری بدست میاد:|||






