تابع
-

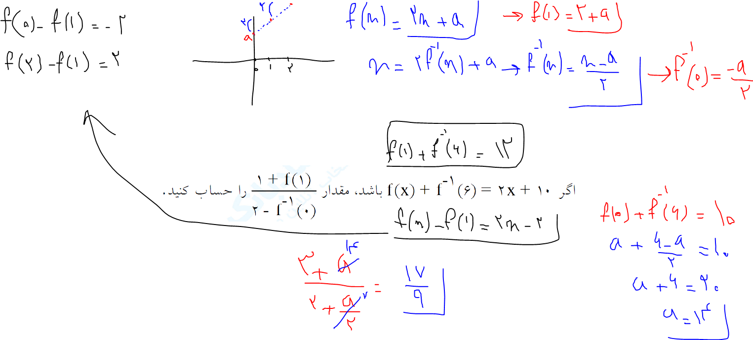
سلام.پاسخنامه رو دارم.ولی توضیحاتش جالب نیست.اگه میشه یه نفر توضیح بدع
دانش-آموزان-آلاء@mr-fantastic
سلام ، وقت تون بخیر .پاسخ عبارت داده شده 1 هست؟
-
@mr-fantastic
سلام ، وقت تون بخیر .پاسخ عبارت داده شده 1 هست؟
Shiva_Andromeda daughter of space در تابع گفته است:
@mr-fantastic
سلام ، وقت تون بخیر .پاسخ عبارت داده شده 1 هست؟
خیر
-

سلام.پاسخنامه رو دارم.ولی توضیحاتش جالب نیست.اگه میشه یه نفر توضیح بدع
دانش-آموزان-آلاء -
@mr-fantastic میشه 17 بر 9؟ :/
-
@mr-fantastic میشه 17 بر 9؟ :/
Shadow Runner در تابع گفته است:
@mr-fantastic میشه 17 بر 9؟ :/
اللهم صلی الی محمد و آل محمد
:thumbs_up: -
فک کردم سوال سادس الان همه میان جواب میدن:|
-
Shadow Runner در تابع گفته است:
@mr-fantastic میشه 17 بر 9؟ :/
اللهم صلی الی محمد و آل محمد
:thumbs_up:@mr-fantastic خیلی مزخرف بود :/ ببین متوجه میشی؟

-
@mr-fantastic خیلی مزخرف بود :/ ببین متوجه میشی؟

Shadow Runner در تابع گفته است:
@mr-fantastic خیلی مزخرف بود :/ ببین متوجه میشی؟

سر فرصت نیگا میکنم
ولی فک نکنم بفهمم:|
میگم واسه فیزیک و ریاضی یازده منبعت چی بود؟(واسه یادگیری) -
Shadow Runner در تابع گفته است:
@mr-fantastic خیلی مزخرف بود :/ ببین متوجه میشی؟

سر فرصت نیگا میکنم
ولی فک نکنم بفهمم:|
میگم واسه فیزیک و ریاضی یازده منبعت چی بود؟(واسه یادگیری)@mr-fantastic ایشالا ک متوجه بشی منم اگر راه ساده تر یافتم بهت میگم قطعا همچین سوالی میانبر داره
والا ریاضی سیر تا پیاز و فیزیک گاج نقره ای بود (البته من نظام قدیم بودم)
ولی خب از نظر یادگیری خودم معلم خودم بودم فقط درسنامه رو میخوندم بعد ی عالمه باهاش ور میرفتم :/

