Skip to content
  • دسته‌بندی‌ها
  • 0 نخوانده ها: پست‌های جدید برای شما 0
  • جدیدترین پست ها
  • برچسب‌ها
  • سوال‌های درسی و مشاوره‌ای
  • دوره‌های آلاء
  • گروه‌ها
  • راهنمای آلاخونه
    • معرفی آلاخونه
    • سوال‌پرسیدن | انتشار مطالب آموزشی
    • پاسخ‌دادن و مشارکت در تاپیک‌ها
    • استفاده از ابزارهای ادیتور
    • معرفی گروه‌ها
    • لینک‌های دسترسی سریع
پوسته‌ها
  • Light
  • Brite
  • Cerulean
  • Cosmo
  • Flatly
  • Journal
  • Litera
  • Lumen
  • Lux
  • Materia
  • Minty
  • Morph
  • Pulse
  • Sandstone
  • Simplex
  • Sketchy
  • Spacelab
  • United
  • Yeti
  • Zephyr
  • Dark
  • Cyborg
  • Darkly
  • Quartz
  • Slate
  • Solar
  • Superhero
  • Vapor

  • Default (بدون پوسته)
  • بدون پوسته
بستن
Brand Logo

آلاخونه | شبکه اجتماعی دانش آموزی آلاء

  • سوال یا موضوع جدیدی بنویس

  • سوال مشاوره ای
  • سوال زیست
  • سوال ریاضی
  • سوال فیزیک
  • سوال شیمی
  • سایر
  1. خانه
  2. دروس
  3. ریاضی تجربی
  4. دامنه و برد
گزارش مطالعه دانشجویی🤓🎓
maryam111M
سلام سلاااام🤩 بچه ها تو این تاپیک میخوایم دانشجوها هم مثل کنکوریا ساعت مطالعه شون رو اعلام کنن ✌ هم انگیزه بشه برای فارغ التحصیلای آلاء تا تو محیط دانشگاه هم دست از تلاشِ آلائی برندارن 💪و هم اینکه کنکوریای با درسایی که دانشجوها میخونن یکم آشنا میشن🤗 پس از امشب استارت این تاپیک رو میزنیم و هرشب میایم و میگیم در طول روز چ درسایی رو خوندیم ،چند ساعت و چیکارا کردیم😁 دعوت میکنم از @فارغ-التحصیلان-آلاء که باهامون همراه بشن🤝 خیلی ممنون از @z-gheibi و @M-ba78 بابت پیشنهاد و همراهیشون❤ راستی از @romisa جانم هم دعوت میکنم بهمون سر بزنه و همراهیمون کنه😍
دانشگاهی
گزارش ساعت مطالعه برای کنکوری ها (تمامی رشته ها)
M
:handshake: سلام خدمت دوستان %(#ff0000)[دوازدهمی]، داخل این تاپیک میتونید ساعت مطالعه روزانتون رو گزارش بدید. طبیعتا همه دوست داریم فعالیت ها تو یه تاپیک باشه و نه پراکنده پس تاپیک تکراری نخواهیم داشت. :date: تاریخ گزارشات رو هم ذکر کنید (مخصوصا اگر گزارش مربوط به ۱ روز قبل میشه). بازیگران این تاپیک شما هستید پس بترکونید :fire: موفق باشید :rose: :heart: :information_source: اگر کنکوری نیستید میتونید از لینک های زیر وارد تاپیک مخصوص خودتون بشید :linked_paperclips: :point_down: :male-student: :female-student: => :keycap_0: :keycap_1: تاپیک مخصوص دهمی ها :male-student: :female-student: => :keycap_2: :keycap_1: تاپیک مخصوص یازدهمی ها @دوازدهم
مشاوره تحصیلی
اشنایی با مهندسی صنایع
دانشجو شریفد
پاسخ: آشنایی با مهندسی صنایع
مشاوره تحصیلی
Routine Time 💫📒
Michael VeyM
Topic thumbnail image
مشاوره تحصیلی
پارت گذاری
Zahra2020Z
سلام خدمت دوستان عزیز....خیلی سریع میرم سر اصل مطلب ممکنه خیلیا تو تایم مطالعه از گوشی استفاده نکنن یا خودشون مجازی نداشته باشن و از گوشی خانواده استفاده کنن (مثل من😭)...ولی بعضی وقتا پیش میاد نمیتونی درست مطالعه کنی یا هرچیز دیگه ای من زیاد با آلا آشنایی ندارم حقیقتا ...ولی دوست دارم بعضی وقتا پارت بذارم هرکسی خواست میتونه همراهی کنه
مشاوره تحصیلی
فیزیک عمومی ۲ شایدم فیزیک یازدهم
RoverR
Topic thumbnail image
دانشگاهی
داشته هامون 😍✨
در حال بارگذاری...د
سلام شبتون بخیر چطورین رفقا؟! میخام یه چالش بزارم، نمیدونم قبلا همچین تاپیکی بوده یا نه ولی خب من ایجاد کردم دیگه..!😁 رفقا بیاین یه متن بنویسیم و هر جملش با این کلمه شروع بشه: "چقده خوبه که.." و داشته هامونو بگیم و خدامونو واسه اینکه تو زندگیمون داریمشون شکر کنیم..!✨❤ مثلا متن خودم: چقد خوبه که میتونم واسه هدفام تلاش کنم... چقد خوبه که وسط ناامیدی زیاد، بازم امید دارم... چقد خوبه که عضو انجمن آلا هستم و کلی رفیق دارم... چقد خوبه که انسانیت درونمو حس میکنم.. چقد خوبه که پیتزا و شیرکاکائو با تی تاپ درمون دردامه... چقد خوبه که قیمه اختراع شده... چقد خوبه که میتونم برم بیرون و خونوادم و رفیقامو بغل کنم... چقد خوبه که سالمم... چقد خوبه که خونوادم کنارمن... چقد خوبه که میتونم خودمو کارامو انجام بدم... چقد خوبه که داداشم هوامو دارم... چقد خوبه که ... چقد خوبه که بدنیا اومدم...! :)))) خدا برای همه ی "چقد خوبه ها که" شکرت..! بیاین یبار هم که شده بجای نداشته هامون، داشته هامونو بگیم..! پ.ن: تاپیک رو زدم بخش مشاوره ای، چون فکر میکنم واسه روحیه مون خیلی خوب باشه..! @دانش-آموزان-آلاء @راه-ابریشم-پرو-زیست @تجربی @دوازدهم @ریاضی-فیزیک @انسانیا @فارغ-التحصیلان-آلاء @دانش-آموزان-نظام-جدید-آلا @راه-ابریشم-پرو-شیمی @راه-ابریشم-پرو-ریاضیات-ریاضی @راه-ابریشم-پرو-فیزیک-کازرانیان @راه-ابریشم-پرو-ریاضی-تجربی
سوال مشاوره ای
دور سوم چالش ۲۱ روزه سحرخیزی آلایی‌ها 🤓🌞
maryam111M
Topic thumbnail image
مشاوره تحصیلی
کنکور فرهنگیان
im_mjgnI
زمان کنکور فرهنگیان تعویق خورده؟ @تجربیا @انسانیا
سوال مشاوره ای
چالش ۲۱ روزه نوشتن to do list📝
maryam111M
Topic thumbnail image
مشاوره تحصیلی
زبان آلمانی
idiotequeI
درود میخواستم برای گرفتن مدرک B2 آلمانی آزمون بدم و انگلیسی مسلطم ولی با آلمانی کاملاً ناشناخته هستم کسی هست اینجا آلمانی بلد باشه و یا خونده باشه؟ میشه بهم کمک کنید فایل کتابی چیزی دارید؟ چون الان به کتاب های میشن هم دسترسی ندارم
سوال مشاوره ای
کمک کنید که موندم تو توراکس!
Michael VeyM
Topic thumbnail image
دانشگاهی
لطفا در مورد برنامه درسی راهنماییم کنید
im_mjgnI
Topic thumbnail image
سوال مشاوره ای
نکات و جمع بندی‌ 🦋زیست شناسی 🦋
wanderingW
🧩این تاپیک جهت یکجا بودن نکات مهم و جدول‌های جمع بندی درس زیست شناسی🧬 زده شده 🪄آزاد برای مشارکت عموم🪄 لطفا اسپم ندید تا نکات یکپارچه باشه.🙏
زیست شناسی
گلوکز
HakoH
اکسایش گلوکز برگشت پذیره؟ میشه واکنش و بگین @دانش-آموزان-آلاء @تجربیا @ریاضیا
شیمی
ماجرای خاکستر به عنوان پاک‌کننده
HakoH
ما گفتیم توی خاکستر فلزاتی داریم که با آب خاصیت بازی ایجاد میکنن پس اون موقع چربی حالت اسیدی داره که هم رو حل میکنن یا چی؟ @دانش-آموزان-آلاء @تجربیا @ریاضیا
شیمی
اشتباه پاسخنامه یا اشتباه عسل؟
HakoH
Topic thumbnail image
شیمی
یه سوال ساده!
HakoH
سلام سلام تفاوت‌ اسید چرب و استر بلند زنجیر چیه 😭😭 همش قاطی میکنمشون @دانش-آموزان-آلاء @تجربیا @ریاضیا
شیمی
واکنش فلز با اسید
HakoH
چرا فلزات در واکنش با اسید از کمترین ظرفیت خودشون استفاده میکنن؟ @دانش-آموزان-آلاء @ریاضیا @تجربیا
شیمی
رنگ اهک
HakoH
های وقتی به دریاچه ها اسید اهک اضافه می‌کنن آهک صورتیه یا کرمی ؟تو هر کتاب یه رنگه @دانش-آموزان-آلاء @تجربیا @ریاضیا
شیمی

دامنه و برد

زمان بندی شده سنجاق شده قفل شده است منتقل شده حل شده ریاضی تجربی
10 دیدگاه‌ها 4 کاربران 251 بازدیدها 3 Watching
  • قدیمی‌ترین به جدید‌ترین
  • جدید‌ترین به قدیمی‌ترین
  • بیشترین رای ها
پاسخ
  • پاسخ به عنوان موضوع
وارد شوید تا پست بفرستید
این موضوع پاک شده است. تنها کاربرانِ با حق مدیریت موضوع می‌توانند آن را ببینند.
  • IIAIII آفلاین
    IIAIII آفلاین
    IIAII
    نوشته‌شده در آخرین ویرایش توسط انجام شده
    #1

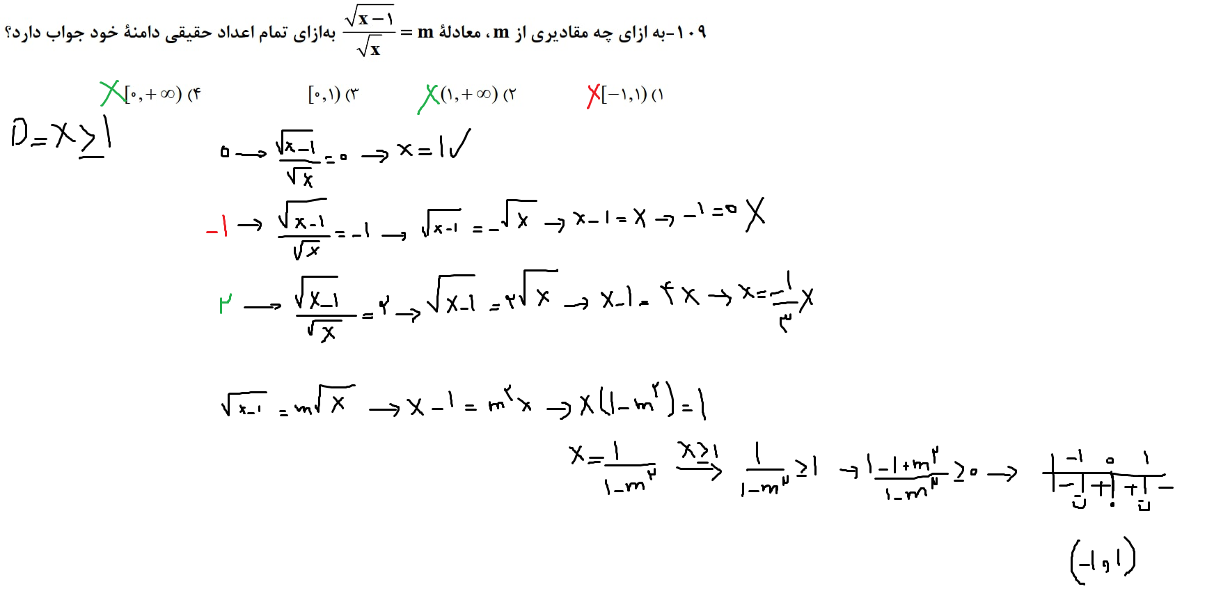
    سلام دوستان
    میشه بگید این چطوری حل میشه؟
    تا اینجاشو میدونم که m، برد تابع هستش و در واقع بردش رو از ما میخواد😅
    7ed3eef4-92e1-42b3-ad21-17849eddca50-image.png
    دانش-آموزان-نظام-جدید-آلا ریاضیا تجربیا دانش-آموزان-آلاء بچه-های-تجربی-راه-ابریشم بچه-های-ریاضی-راه-ابریشم

    mooon haaappyM 1 پاسخ آخرین پاسخ
    0
    • IIAIII IIAII marked this topic as a question on
    • IIAIII IIAII

      سلام دوستان
      میشه بگید این چطوری حل میشه؟
      تا اینجاشو میدونم که m، برد تابع هستش و در واقع بردش رو از ما میخواد😅
      7ed3eef4-92e1-42b3-ad21-17849eddca50-image.png
      دانش-آموزان-نظام-جدید-آلا ریاضیا تجربیا دانش-آموزان-آلاء بچه-های-تجربی-راه-ابریشم بچه-های-ریاضی-راه-ابریشم

      mooon haaappyM آفلاین
      mooon haaappyM آفلاین
      mooon haaappy
      دانش آموزان آلاء
      نوشته‌شده در آخرین ویرایش توسط انجام شده
      #2

      @m-sina سلام گزینه3 جوابه؟

      IIAIII 1 پاسخ آخرین پاسخ
      1
      • mooon haaappyM mooon haaappy

        @m-sina سلام گزینه3 جوابه؟

        IIAIII آفلاین
        IIAIII آفلاین
        IIAII
        نوشته‌شده در آخرین ویرایش توسط انجام شده
        #3

        mooon haaappy بله

        1 پاسخ آخرین پاسخ
        0
        • heydar taherinejadH آفلاین
          heydar taherinejadH آفلاین
          heydar taherinejad
          نوشته‌شده در آخرین ویرایش توسط انجام شده
          #4

          سلام خب ببین بر اساس دامنه که خب کمترین مقدار تابع میشه برابر با 0 پس یک و دو پر اما بین سه و چهار ببین اینو قبول دارین که رادیکال یه عبارت همیشه از رادیکال یکی کمتره همون عبارت خب قاعدتا بیشتره پس همیشه این کسر کوچک تر از واحده پس تهش به یک نزدیک میشه و اما بهش نمیرسه پس میشه3😃🙏

          IIAIII 1 پاسخ آخرین پاسخ
          2
          • heydar taherinejadH heydar taherinejad

            سلام خب ببین بر اساس دامنه که خب کمترین مقدار تابع میشه برابر با 0 پس یک و دو پر اما بین سه و چهار ببین اینو قبول دارین که رادیکال یه عبارت همیشه از رادیکال یکی کمتره همون عبارت خب قاعدتا بیشتره پس همیشه این کسر کوچک تر از واحده پس تهش به یک نزدیک میشه و اما بهش نمیرسه پس میشه3😃🙏

            IIAIII آفلاین
            IIAIII آفلاین
            IIAII
            نوشته‌شده در آخرین ویرایش توسط انجام شده
            #5

            heydar taherinejad میشه روش تشریحیشو بگید؟
            اصلا خوشم از این جور رد گزینه ای نمیاد😂
            ممکن بود بازه هارو تو گزینه نداده باشه و یه چیز دیگه خواسته باشه(مثلا تعداد اعداد صحیح موجود در بازه)
            اون موقع باید چیکار کنیم؟

            1 پاسخ آخرین پاسخ
            0
            • heydar taherinejadH آفلاین
              heydar taherinejadH آفلاین
              heydar taherinejad
              نوشته‌شده در آخرین ویرایش توسط انجام شده
              #6

              اخه حلش همینه 😂رد گزینه نیست دارم میگم بر اساس دامنه که خب برد میشه از صفر به بالا
              حالا تهش هم میشه یک باز چرا چون کسر ما کوچک تر از واحده هر کار کنیم هر عددی باشه رادیکال یکی کمترش از رادیکال خودش همیشه کمتره پس همیشه کوچکتر از یک هست
              در نتیجه میشه بازه صفر بسته تا یک باز

              1 پاسخ آخرین پاسخ
              2
              • heydar taherinejadH آفلاین
                heydar taherinejadH آفلاین
                heydar taherinejad
                نوشته‌شده در آخرین ویرایش توسط انجام شده
                #7

                من اصن رد گزینه نکردم فقط جوابش دو مرحله داشت براساس حل قاعدتا گزینه های غلط حذف میشن گزینه درست میمونه اون رد گزینه یعنی من از خود گزینه برا ردش استفاده کنم

                1 پاسخ آخرین پاسخ
                2
                • mooon haaappyM آفلاین
                  mooon haaappyM آفلاین
                  mooon haaappy
                  دانش آموزان آلاء
                  نوشته‌شده در آخرین ویرایش توسط انجام شده
                  #8

                  همونطور ک گفتیدmبرد تابع هست.ابتدا دامنه تابع به دست میاریم.مخرج میشه ایکس های بزرگتر از صفر(چون مخرج صفر نمیشه و رادیکال داریم). صورت میشه ایکس های بزرگتر مساوی یک.اشتراک صورت و مخرج میشه دامنه تابع یعنی ایکس های بزرگتر مساوی یک . جایگزیری یک در تابع صفر میشه یعنی برد تابع از صفر شروع میشه .هر عدد بزرگتر از یک به تابع بدیم چون صورت ی منهای یک داره صورت از مخرج کوچکتر میشه یعنی ی عدد کسری ایجاد میشه ک بین صفر و یکه .درکل برد میشه بازه صفر بسته و یک باز.
                  یک بار نوشتم چند ساعت قبل سیستم ارور داد نیومد الان دوباره نوشتم.

                  1 پاسخ آخرین پاسخ
                  1
                  • AmirbernosiA آفلاین
                    AmirbernosiA آفلاین
                    Amirbernosi
                    نوشته‌شده در آخرین ویرایش توسط انجام شده
                    #9

                    cd0539d3-74a0-42a1-b209-d6cff23078bf-image.png
                    سلام

                    اول با تستی رفتم بعد تشریحی، هردوش راحتن

                    IIAIII 1 پاسخ آخرین پاسخ
                    1
                    • AmirbernosiA Amirbernosi

                      cd0539d3-74a0-42a1-b209-d6cff23078bf-image.png
                      سلام

                      اول با تستی رفتم بعد تشریحی، هردوش راحتن

                      IIAIII آفلاین
                      IIAIII آفلاین
                      IIAII
                      نوشته‌شده در آخرین ویرایش توسط انجام شده
                      #10

                      @amir-bernousi دمت گرم
                      راه تشریحی رو می پسندم!😂😅

                      1 پاسخ آخرین پاسخ
                      1
                      • IIAIII IIAII has marked this topic as solved on
                      پاسخ
                      • پاسخ به عنوان موضوع
                      وارد شوید تا پست بفرستید
                      • قدیمی‌ترین به جدید‌ترین
                      • جدید‌ترین به قدیمی‌ترین
                      • بیشترین رای ها


                      • درون آمدن

                      • حساب کاربری ندارید؟ نام‌نویسی

                      • برای جستجو وارد شوید و یا ثبت نام کنید
                      • اولین پست
                        آخرین پست
                      0
                      • دسته‌بندی‌ها
                      • نخوانده ها: پست‌های جدید برای شما 0
                      • جدیدترین پست ها
                      • برچسب‌ها
                      • سوال‌های درسی و مشاوره‌ای
                      • دوره‌های آلاء
                      • گروه‌ها
                      • راهنمای آلاخونه
                        • معرفی آلاخونه
                        • سوال‌پرسیدن | انتشار مطالب آموزشی
                        • پاسخ‌دادن و مشارکت در تاپیک‌ها
                        • استفاده از ابزارهای ادیتور
                        • معرفی گروه‌ها
                        • لینک‌های دسترسی سریع