حرکت🤕😭
-
Mahan Xodayi 2 نه اونو امتحان کردم موفق نشدم تا آخر برسونم😐
@Mr-Wick
راه حل هندسی راحت تره ولی اینم نوشتم شاید متوجه بشین

-
دوستان خیلی ممنون لطف کردین...همه روش هاتون خوب بود ولی مشکل من بود که متوجه نمیشم🌹🙏🏼
-
M Mr. Wick marked this topic as a regular topic on
-
@Mr-Wick
روش من رو واقعا متوجه نشدی؟
مشکل کجاست بگو تا توضیح بدم ... -
سلام

میشه راه حلتون رو ارائه بدین؟
والله من هرچی تلاش میکنم جواب میاد 4/8 این چطوری شده 5/8؟
فک کنم 4بار حل کردم...قطعا روشم اشتباهه
ای که دستت می رسد هِلپی بکن🥲
دانش-آموزان-آلاء
دانش-آموزان-نظام-جدید-آلا@Mr-Wick با روش ریاضی بگم که عیب نداره
-
سلام

میشه راه حلتون رو ارائه بدین؟
والله من هرچی تلاش میکنم جواب میاد 4/8 این چطوری شده 5/8؟
فک کنم 4بار حل کردم...قطعا روشم اشتباهه
ای که دستت می رسد هِلپی بکن🥲
دانش-آموزان-آلاء
دانش-آموزان-نظام-جدید-آلا@Mr-Wick
با استفاده از قضیه تالس برای مساحت در تشابه

-
@حمید-صباحی در حرکت🤕😭 گفته است:
@Mr-Wick با روش ریاضی بگم که عیب نداره

با روش ریاضی و تشابه رفتم اگه متوجه نشدی بگو بگم چی نوشتم از صفحه ی چپی شروع کردم -
@Mr-Wick
اشتباهت اینه که مثلث بزرگ رو از مثلث کوچک کم میکنی و یه عدد بدست میاری
تا اینجا درست
ولی عددی که بدست آوردی مال مساحت یه ذوزنقه هست نه یه مثلث ... -
دوستان من راه حل های شما رو دیدم و همه خیلی خلاقانه بود واقعا خسته نباشید
ولی یک دقیقه لطفا راه بنده رو نگاه کنید...
وقتی فقط میشه با شیب خط رفت جلو چرا از راه های دیگه بریم؟
چون این دوستمون تو حل سوال مشکل دارن بهتره که از ساده ترین راه بریم وگرنه همه راه ها ارزشمند هست و نشان از هوش و خلاقیت شما داره
اینو صرفا گفتم مشکل دوستمون حل شه نه اینکه بخوام بگم چون راه منه پس بهتره ... -
@حامد-صباحی
قضیه تالس راحته یا معادله خط خدایی؟ -
دوستان من راه حل های شما رو دیدم و همه خیلی خلاقانه بود واقعا خسته نباشید
ولی یک دقیقه لطفا راه بنده رو نگاه کنید...
وقتی فقط میشه با شیب خط رفت جلو چرا از راه های دیگه بریم؟
چون این دوستمون تو حل سوال مشکل دارن بهتره که از ساده ترین راه بریم وگرنه همه راه ها ارزشمند هست و نشان از هوش و خلاقیت شما داره
اینو صرفا گفتم مشکل دوستمون حل شه نه اینکه بخوام بگم چون راه منه پس بهتره ...Scientist 17
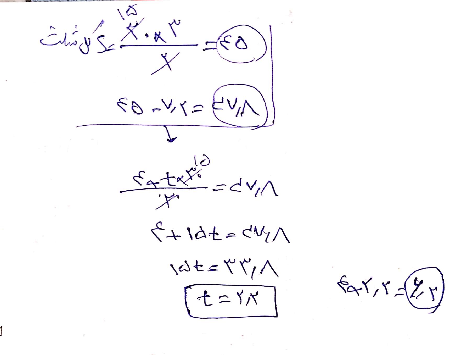
با شتاب هم راحت میاد -
دوستان من راه حل های شما رو دیدم و همه خیلی خلاقانه بود واقعا خسته نباشید
ولی یک دقیقه لطفا راه بنده رو نگاه کنید...
وقتی فقط میشه با شیب خط رفت جلو چرا از راه های دیگه بریم؟
چون این دوستمون تو حل سوال مشکل دارن بهتره که از ساده ترین راه بریم وگرنه همه راه ها ارزشمند هست و نشان از هوش و خلاقیت شما داره
اینو صرفا گفتم مشکل دوستمون حل شه نه اینکه بخوام بگم چون راه منه پس بهتره ...Scientist 17 شیب و شتاب خیلی آسونه آره..ولی من هنوز به اون مبحث نرسیدم برای همین از دوستان خواستم این مدل رو استفاده کنن
همگی عالی بودین
جزو سئوالای سخت گزینه دو بود که حل کردنش سخت بود
ممنون همگی🙏🏼🌹 -
@سمیه-صادقلو هیچکدوم
-
@سمیه-صادقلو
فرقی نداره برای این سوال خودم چهار راه رفتم از همه راحتر برام شتاب بود -
دوستان من راه حل های شما رو دیدم و همه خیلی خلاقانه بود واقعا خسته نباشید
ولی یک دقیقه لطفا راه بنده رو نگاه کنید...
وقتی فقط میشه با شیب خط رفت جلو چرا از راه های دیگه بریم؟
چون این دوستمون تو حل سوال مشکل دارن بهتره که از ساده ترین راه بریم وگرنه همه راه ها ارزشمند هست و نشان از هوش و خلاقیت شما داره
اینو صرفا گفتم مشکل دوستمون حل شه نه اینکه بخوام بگم چون راه منه پس بهتره ...Scientist 17 در حرکت🤕😭 گفته است:
دوستان من راه حل های شما رو دیدم و همه خیلی خلاقانه بود واقعا خسته نباشید
ولی یک دقیقه لطفا راه بنده رو نگاه کنید...
وقتی فقط میشه با شیب خط رفت جلو چرا از راه های دیگه بریم؟
چون این دوستمون تو حل سوال مشکل دارن بهتره که از ساده ترین راه بریم وگرنه همه راه ها ارزشمند هست و نشان از هوش و خلاقیت شما داره
اینو صرفا گفتم مشکل دوستمون حل شه نه اینکه بخوام بگم چون راه منه پس بهتره ...بله دقیقا منم با شیب رفتم فقط من معادله ی اون خط رو نوشتم تا بفهمن ۷۰ از کجا اومده👌👌
-
Scientist 17 شیب و شتاب خیلی آسونه آره..ولی من هنوز به اون مبحث نرسیدم برای همین از دوستان خواستم این مدل رو استفاده کنن
همگی عالی بودین
جزو سئوالای سخت گزینه دو بود که حل کردنش سخت بود
ممنون همگی🙏🏼🌹@Mr-Wick
متوجه نشدم
به کدوم مبحث نرسیدی؟
اگه منظورت تعریف شیب هست که ضلع قائم رو تقسیم بر ضلع افقی میکنی...چیز خاصی نیس -
@Mr-Wick
متوجه نشدم
به کدوم مبحث نرسیدی؟
اگه منظورت تعریف شیب هست که ضلع قائم رو تقسیم بر ضلع افقی میکنی...چیز خاصی نیسScientist 17
به مبحث حرکت با شتاب ثابت و معادله هاش نرسیده -
Scientist 17
به مبحث حرکت با شتاب ثابت و معادله هاش نرسیده@حامد-صباحی
آخه در رابطه با راه حل من گفتن ... -
Scientist 17 شیب و شتاب خیلی آسونه آره..ولی من هنوز به اون مبحث نرسیدم برای همین از دوستان خواستم این مدل رو استفاده کنن
همگی عالی بودین
جزو سئوالای سخت گزینه دو بود که حل کردنش سخت بود
ممنون همگی🙏🏼🌹@Mr-Wick در حرکت🤕😭 گفته است:
Scientist 17 شیب و شتاب خیلی آسونه آره..ولی من هنوز به اون مبحث نرسیدم برای همین از دوستان خواستم این مدل رو استفاده کنن
همگی عالی بودین
جزو سئوالای سخت گزینه دو بود که حل کردنش سخت بود
ممنون همگی🙏🏼🌹اولش نوشته با شتاب آسونتره ولی من بهش نرسیدم
منظورم این بود -
@Mr-Wick

Scientist 17 به همین مبحث شماهم نرسیدم



