hamed bagheri 0
سلام ممنون، بله منم همین نظر رو دارم.. اما در یکی از این امتحانات سال گذشته دیدم جوابش نوشته بود منفی بی نهایت 
حالا دقیقا یادمنیست دی بود یا خرداد
Mr Mazrai 0
دیدگاهها
-
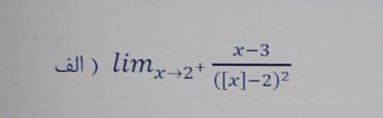
حد جزصحیح -
یک سوال جالب از احتمالسلام دوستان وقت بخیر ، لطفا این سوال رو راهنمایی کنید، خیلی ممنون


ریاضیا
تجربیا
دانش-آموزان-آلاء
دانش-آموزان-نظام-جدید-آلا
المپیادیا -
معادله براکتیسلام دوستان عزیز وقت بخیر، لطفا این سوال رو راهنمایی کنید. ممنون


ریاضیا
تجربیا
دانش-آموزان-آلاء
دانش-آموزان-نظام-جدید-آلا -
لگاریتمسلام عزیزان وقت بخیر.. لطفا این سوال که log24 در مبنای 25 رو بر حسب a و b میخواد راهنمایی کنید..

ریاضیا
تجربیا
دانش-آموزان-آلاء
دانش-آموزان-نظام-جدید-آلا -
کمترین مقدار یک عبارتسلام دوستان عزیز وقت بخیر ، ممنون میشم سوال زیر رو راهنمایی کنید، شما چند روش حل برای همچین سوال میدونید؟ روش ساده تری نداره؟ ممنون میشم کمک کنید


ریاضیا
تجربیا
دانش-آموزان-آلاء
دانش-آموزان-نظام-جدید-آلا
المپیادیا -
جزوهMahdieh Foroughi
سلام نه کتاب جدا هست و باید خریداری کنید یا پرینتبگیرید.. -
شمارشسلام دوستان عزیز وقت بخیر، لطفا این سوال رو راهنمایی کنید، ممنون


ریاضیا
تجربیا
دانش-آموزان-آلاء
دانش-آموزان-نظام-جدید-آلا
المپیادیاممنون میشم شما هم کمک کنید @miss-Mir1381
-
یک سوال جالب از احتمالMr Mazrai 0
سلام ، میشه لطفا این سوال رو کمک کنید
@miss-Mir1381 -
شمارشسلام عزیزان وقت بخیر، لطفا این سوالارو راهنمایی کنید



ریاضیا
تجربیا
دانش-آموزان-آلاء
دانش-آموزان-نظام-جدید-آلا
المپیادیا -
ترکیب تابعسلام دوستان عزیز وقت بخیر، ممنون میشم این سوال رو راهنمایی کنید


ریاضیا
تجربیا
دانش-آموزان-آلاء
دانش-آموزان-نظام-جدید-آلا -
شمارشسلام دوستان وقت بخیر، این سوال برای من سوال جالبی بود! ممنون میشم شما راهنمایی کنید

ریاضیا
تجربیا
دانش-آموزان-آلاء
دانش-آموزان-نظام-جدید-آلا
المپیادیا -
جمعبندی با دبیر آلاAsal M 2
سلام وقت بخیر، به نظر من دوره های استاد ثابتی؛ واقعا بی نظیرن، البته این نظر منه... -
دنبالهسلام دوستان وقت بخیر، لطفا این سوالات رو راهنمایی کنید. ممنون


ریاضیا
تجربیا
دانش-آموزان-آلاء
دانش-آموزان-نظام-جدید-آلا
المپیادیا -
نظریه اعدادسلام دوستان وقت بخیر، این سوال هم برای من جالب بود ممنون میشم کمکم کنید


ریاضیا
تجربیا
دانش-آموزان-آلاء
دانش-آموزان-نظام-جدید-آلا
المپیادیا -
حد جزصحیحسلام دوستان وقت بخیر.. ممنون میشم این سوال رو لطفا حل کنید..

ریاضیا
تجربیا
دانش-آموزان-نظام-جدید-آلا
دانش-آموزان-آلاء
المپیادیا -
حسابانسلام عزیزان وقتتون بخیر لطفا این دوتا سوال رو راهنمایی بفرمایید..

ریاضیا
تجربیا
دانش-آموزان-نظام-جدید-آلا
دانش-آموزان-آلاء -
ترکیبیاتسلام عزیزان آلایی لطفا این سوال رو کمک کنید..ممنون

به چند طریق می توان ۱۰ سکه ۵۰ ریالی را بین سه نفر تقسیم کرد به طوری که به شخص اول حداکثر ۴ سکه و به شخص دوم حداکثر ۵ سکه برسد؟
۱)۲۰
۲)۲۵
۳)۳۰
۴)۳۵
ریاضیا
المپیادیا
دانش-آموزان-آلاء
دانش-آموزان-نظام-جدید-آلا -
حد در بی نهایتسلام عزیزان، کسی میتونه این سوال حد رو راهنمایی کنه که بگه چجوری میشه؟؟!!!

-
هندسهسلام دوستان وقت بخیر، لطفا این سوال رو راهنمایی کنید. خیلی ممنون


ریاضیا
تجربیا
المپیادیا
دانش-آموزان-آلاء
دانش-آموزان-نظام-جدید-آلا -
ی سوالسلام دوستان لطفا این سوال رو برام حل کنید
